March 12, 2026 - EX-10.7 - 10-K: Annual report [Section 13 and 15(d), not S-K Item 405] | Volato, Inc. (SOAR)

Form: 10-K

Annual report [Section 13 and 15(d), not S-K Item 405]

March 12, 2026

FIFTH AMENDMENT TO AIRCRAFT MANAGEMENT SERVICES AGREEMENT THIS FIFTH AMENDMENT TO AIRCRAFT MANAGEMENT SERVICES AGREEMENT (this “Amendment”) is effective as of March 6, 2026 (the “Amendment Effective Date”), among flyExclusive, Inc. (“Service Provider” or “FLYX”) and Volato Group, Inc. (the “Company” or “SOAR”). RECITALS: A. Company and Service Provider previously entered into that certain Aircraft Management Services Agreement dated as of September 2, 2024, as amended on March 26, 2025, August 29, 2025, September 12, 2025, and October 1, 2025 (the “AMS Agreement”). B. Company and Service Provider now desire to enter into this Amendment. NOW, THEREFORE, for good and valuable consideration, the receipt and sufficiency of which are hereby acknowledged, Company and Service Provider hereby agree as follows: 1. DEFINED TERMS; RECITALS. Capitalized terms used but not otherwise defined in this Amendment shall have the meanings ascribed to them in the AMS Agreement (as modified hereby). All of the Recitals stated above are true and accurate and by this reference are incorporated into and made a part of the body of this Amendment. 2. AMENDMENT TO AMS AGREEMENT. 2.1 Section 4(f) of the AMS Agreement is hereby amended and restated in its entirety as follows:“(f) Asset Options. The Company hereby grants to Service Provider, subject to the terms and conditions stated herein, the right to purchase from the Company certain aviation-related assets and assume certain obligations of the Company and/or its subsidiaries (the “Service Provider Option”), and Service Provider hereby grants to the Company, subject to the terms and conditions stated herein, the right to sell to Service Provider certain aviation-related assets and assign certain obligations of the Company and/or its subsidiaries to Service Provider (the “Company Option,” and collectively with the Service Provider Option, the “Asset Options”). Upon exercise of either of the Asset Options, the Company and Service Provider shall execute an asset purchase agreement (the “Asset Purchase Agreement”) in the form of Exhibit A, attached hereto, updated to reflect the actual assets purchased upon such exercise as annotated on Exhibit A. Each of the Service Provider and the Company shall perform its obligations as set forth in the Asset Purchase Agreement upon exercise of either of the Asset Options. The assets to be purchased by exercise of either of the Asset Options are the “Purchased Assets” as defined in Section 1.1 of the Asset Purchase Agreement, and designated as either “Vaunt” assets or “Non-Vaunt Assets” in such Asset Purchase Agreement, which includes the assumption of all of Vaunt’s current flight subscription obligations as “Assumed Contract” as defined in the Asset Purchase Agreement. The assets to be purchased by Docusign Envelope ID: 8162FC8D-5BBE-4C89-8AD1-5CC939A5224E


 
2 exercise of the Asset Options specifically exclude the assets set forth in Section 1.3 of the Asset Purchase Agreement, including but not limited to the assets pertaining to the “Parslee business.” Section 1.2 of the Asset Purchase Agreement sets forth the liabilities that will and will not be assumed pursuant to the Asset Purchase Agreement. The Company Option may be exercised by SOAR up to two (2) times in the aggregate. Each exercise of the Company Option shall be for one or more Purchased Assets selected by the Company from Section 1.1 of Exhibit A, at a purchase price determined by the Company for such exercise; provided, that the aggregate purchase price for all exercises of the Company Option shall equal and not exceed Two Million Dollars ($2,000,000) (the “Purchase Price”). The Company Option shall be exercisable by SOAR beginning on the Amendment Effective Date and end on the earlier of (w) the end of the Term, (x) the day immediately prior to the beginning of the exercise period of the Service Provider Option, and (y) the completion of the transaction set forth in Section 4(k). The Service Provider Option shall be exercisable by FLYX beginning six (6) months following the completion of any Change of Control of the Company, and shall expire simultaneously with the end of the Term. For this Agreement, “Change of Control” shall mean the occurrence of any of the following: (A) a singular acquisition of more than 50% of the outstanding voting securities of the Company by any one person or affiliated group; (B) a merger or consolidation of the Company with another entity where the Company does not survive; or (C) any singular transaction in which a majority of the board of directors of the Company changes, but specifically excluding such a change set forth in (A) or (C) above in the event it occurs as part of a Company capital raise. Notwithstanding anything herein to the contrary, the Option shall not become exercisable solely by virtue of any internal restructuring, equity issuance, or change in director composition that does not involve a bona fide transfer of control to an unrelated third party. The Company and FLYX consummation of that certain Agreement and Plan of Merger and Reorganization by and among Volato, Volato Merger Subsidiary, Inc. and M2i Global, Inc., dated as of July 28, 2025 or any substantially similar transaction (the “M2i Merger Agreement”) would constitute a “Change of Control” under this Agreement. The purchase price (“Purchase Price”) for the Asset Options shall be Two Million Dollars ($2,000,000) in cash or common shares of FLYX, or any combination thereof at FLYX’s discretion. Any fraction of FLYX common stock calculated for the Purchase Price in whole or part shall be rounded up to the nearest whole number of FLYX common stock. For any portion of the Purchase Price paid in FLYX common stock, the value of the FLYX common stock shall be determined as the VWAP of FLYX common stock as of the Effective Date of the Asset Purchase Agreement. After one of the Company Options has been exercised, the Purchase Price for the Service Provider Option shall be reduced by the amount of consideration paid by Service Provider in connection with the closing of the asset purchase agreement related to such exercised Company Option. “VWAP” means, for any date of determination, the volume-weighted average price per share of FLYX common stock on the NYSE American LLC (or any successor exchange) as reported by Bloomberg L.P. under the function “VWAP” for the security designated as “FLYX <Equity> VWAP” (or, if Bloomberg ceases to publish VWAP, another reputable Docusign Envelope ID: 8162FC8D-5BBE-4C89-8AD1-5CC939A5224E


 
3 financial data source selected in good faith by the parties), calculated for the thirty (30) consecutive trading days ending on and including the fifth (5th) trading day prior to the applicable determination date. For the avoidance of doubt, “VWAP” shall be determined without regard to after-hours trading or any other trading outside of regular trading hours (9:30 a.m. to 4:00 p.m. New York City time) and shall exclude any block trades not reported contemporaneously with public trading data. In the event that any asset or obligation is not transferrable by Company upon any exercise of the Company Option or Service Provider Option, as applicable (e.g., trademark application final rejection), then each of the Service Provider and the Company shall cooperate in the manner specified in Section 6.3 of the Asset Purchase Agreement. The Company shall not, without the written consent of Service Provider: (1) transfer any asset or obligation prior to the exercise of either the Asset Options (other than internal reorganizations), or (2) issue third-party licenses to any asset or assets subject to the Asset Purchase Agreement except non-exclusive licenses in the ordinary course of business. Registration of Option Shares. If any Asset Option is exercised and Service Provider pays some or all of the Purchase Price in shares of FLYX common stock (the “Option Shares”), FLYX shall, promptly, but in any event, within thirty (30) days of the execution of the applicable Asset Purchase Agreement, file with the U.S. Securities and Exchange Commission (the “SEC”) a registration statement on Form S-3 (or such other form as may be available) for the purpose of registering the resale of FLYX common stock issued to SOAR pursuant to such Asset Purchase Agreement (the “Option Shares”). FLYX shall use commercially reasonable efforts to cause such registration statement (the “Option Shares Initial Registration Statement”) to become effective as promptly as practicable and to remain effective until the date on which all such shares are eligible for resale under Rule 144 without restriction. To the extent permitted by applicable SEC rules, the Option Shares Initial Registration Statement shall be filed as a shelf registration under Rule 415, and SOAR shall be entitled to request customary takedowns or prospectus supplements for resale transactions under such shelf. SOAR shall not be required to effect any resale under Rule 144 unless otherwise eligible under Rule 144(b)(1), and nothing herein shall be construed to treat SOAR as an underwriter. To the extent a shelf registration is not available, the Option Shares Initial Registration Statement shall be on Form S-1. FLYX shall use commercially reasonable efforts to ensure that all shares issued or issuable under this Agreement, including the Option Shares, are approved for listing on the NYSE American LLC securities exchange (or any successor national exchange) following issuance and, in any event, prior to resale under any registration statement. Docusign Envelope ID: 8162FC8D-5BBE-4C89-8AD1-5CC939A5224E


 
4 SOAR shall cooperate with FLYX in the preparation of the Option Shares Registration Statement(s) by providing all information reasonably requested by FLYX and in its possession or control, including customary representations, beneficial ownership certifications, and legal compliance materials. Notwithstanding anything to the contrary herein, the Parties acknowledge and agree that this Amendment shall not constitute, and shall not be deemed to constitute, a sale, assignment, or transfer of the Vaunt business or any aviation-related business line, and that any exercise of the Asset Options shall be contingent on a separate arms-length transaction.” 2.2 No Other Amendments. Except for the amendment expressly set forth in Section 2.1 of this Amendment, the AMS Agreement shall remain unchanged and in full force and effect. 3. EFFECT OF AMENDMENT. Upon execution of this Amendment, all references to the AMS Agreement shall mean the AMS Agreement as amended by this Amendment. 4 PROVISIONS OF GENERAL APPLICATION. 4.1 Entire Agreement; Costs and Expenses. This Amendment expresses the entire understanding and agreement of the parties hereto with respect to the subject matter hereof and supersedes all prior understandings, negotiations, correspondence and agreements of the parties regarding such subject matter. Each party shall bear its own fees and costs incurred in connection with the negotiation, preparation and execution of this Amendment. 4.2 This Amendment does not and shall not be construed to transfer, assign, or convey to FLYX any ownership interest, risk of loss, or benefit of appreciation or income in any asset or obligation owned or managed by Volato Group. The parties expressly disclaim any intent that this Amendment constitute a sale, capital contribution, or other transaction that could be construed to confer an equity interest or economic ownership in Volato Group or its assets or obligations to FLYX or any of its affiliates. Nothing in this Amendment shall be interpreted to create a partnership, joint venture, or fiduciary relationship between the parties. Each party shall act solely as an independent contractor under this Agreement. 4.3 The Parties acknowledge that all equity issued under this Amendment is at fair market value as determined pursuant to independently verifiable 30-day VWAP pricing, and no valuation premium, discount, or incentive is implied. 4.4 For the avoidance of doubt, the terms of this Amendment shall survive the Term of the AMS Agreement. 4.5 Counterparts; Facsimile, Electronic Signatures. This Amendment may be executed in one or more counterparts, each of which when so executed shall be deemed to be an original, but all of which when taken together shall constitute one and the same instrument. This Amendment may be delivered by facsimile transmission, by electronic mail, or by other electronic transmission, in portable document format (.pdf), or other electronic or facsimile format, and each such executed facsimile, .pdf, or other electronic record shall be considered an original executed counterpart for Docusign Envelope ID: 8162FC8D-5BBE-4C89-8AD1-5CC939A5224E


 
5 purposes of this Amendment. Each party to this Amendment (a) agrees that it will be bound by its own Electronic Signature (as such term is defined immediately below), (b) accepts the Electronic Signature of each other party to this Amendment, and (c) agrees that such Electronic Signatures shall be the legal equivalent of manual signatures. The term “Electronic Signature” means (i) the signing party’s manual signature on a signature page, converted by the signing party (or its agent) to facsimile or digital form (such as a .pdf file) and received from the customary email address or customary facsimile number of the signing party (or its counsel or representative), or other mutually agreed-upon authenticated source; or (ii) the signing party’s digital signature executed using a mutually agreed-upon digital signature service provider and digital signature process. The words “execution,” “executed”, “signed,” “signature,” and words of like import in this paragraph shall, for the avoidance of doubt, be deemed to include Electronic Signatures and the use and keeping of records in electronic form, each of which shall have the same legal effect, validity and enforceability as manually executed signatures and the use of paper records and paper-based recordkeeping systems, as the case may be, to the extent and as provided for in any applicable law, including the Federal Electronic Signatures in Global and National Commerce Act, state laws based on the Uniform Electronic Transactions Act, or any other similar state law. [Signature pages to follow] Docusign Envelope ID: 8162FC8D-5BBE-4C89-8AD1-5CC939A5224E


 
6 SERVICE PROVIDER: flyExclusive, Inc., a Delaware corporation By: ______________________________ Name: Jim Segrave Title: Chief Executive Officer [Signatures continue on the following page] Docusign Envelope ID: 8162FC8D-5BBE-4C89-8AD1-5CC939A5224E


 
7 COMPANY: Volato Group, Inc., a Delaware corporation By: ______________________________ Name: Mark Heinen Title: Chief Financial Officer Docusign Envelope ID: 8162FC8D-5BBE-4C89-8AD1-5CC939A5224E


 
8 Exhibit A Asset Purchase Agreement Docusign Envelope ID: 8162FC8D-5BBE-4C89-8AD1-5CC939A5224E


 
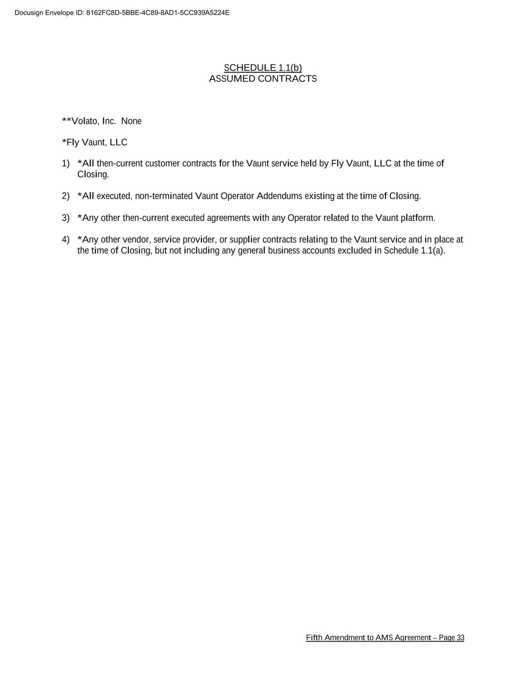
9 ASSET PURCHASE AGREEMENT THIS ASSET PURCHASE AGREEMENT (this "Agreement") is made and entered into on this ___ day of ____________, 20__ (the "Closing Date"), by and between Volato Group, Inc., a Delaware corporation (“Parent”), Volato, Inc., a Georgia corporation and wholly owned subsidiary of Parent (“Volato”), Fly Vaunt, LLC, a Georgia limited liability company and a wholly owned subsidiary of Volato, Inc. (“Fly Vaunt”) (each of Parent, Volato and Fly Vaunt are sometimes referred to individually as a "Seller" and collectively as the “Sellers”), and flyExclusive, Inc., a Delaware corporation ("Buyer"). Each Seller and Buyer are sometimes referred to individually as a "Party" and collectively as the "Parties." Unless otherwise provided in this Agreement, terms with initial capital letters used in this Agreement will have the meanings ascribed to such terms in Annex A which is attached to, incorporated in and made a part of this Agreement. W I T N E S S E T H: WHEREAS, Buyer and Parent are party to that certain Aircraft Management Services Agreement, dated September 2, 2024, as amended time to time, and most recently by that certain Fifth Amendment to Aircraft Management Services Agreement, dated March 6, 2026 (as amended, the “AMS Agreement”); WHEREAS, Pursuant to Section 4(f) of the AMS Agreement, under certain conditions, Buyer has the right and option to acquire designated assets of Sellers, and under certain other conditions, Parent has the right and option to cause Buyer to acquire the same designated assets of Sellers (collectively, the “Option”); WHEREAS, Buyer or Parent, as applicable, has timely exercised the Option pursuant to Section 4(f)(iii) of the AMS Agreement, and Buyer desires to purchase from Sellers, and Sellers desire to sell to Buyer, certain assets of Sellers, all subject to and in accordance with the terms and conditions set forth in this Agreement; and WHEREAS, the purchase of designated assets shall be divided into two transactions, one of which will be the purchase of assets designated and identified as “Vaunt Assets” in the schedules to this Agreement and one of which will be the purchase of assets designated and identified as “Non-Vaunt Assets” in the schedules to this Agreement. NOW, THEREFORE, in consideration of the premises and the mutual agreements contained herein, and other good and valuable consideration, the receipt and sufficiency of which are hereby acknowledged, the Parties hereby agree as follows: EXERCISE OF COMPANY OPTION, PURCHASE AND SALE Sellers hereby exercise the Company Option for the purchase of the [Vaunt Assets] [Non-Vaunt Assets]. 1.1 Purchased Assets. Sellers hereby sell, assign, convey and deliver to Buyer, and Buyer hereby purchases and acquires from Sellers, all of Sellers’ rights, titles and interests in and to the following [Vaunt Assets] [Non-Vaunt Assets] owned or used by Sellers, wherever located, whether tangible or intangible (collectively, the "Purchased Assets"), free and clear of any and all liens and Encumbrances: (a) the tangible and intangible property set forth on Schedule 1.1(a) attached hereto; Docusign Envelope ID: 8162FC8D-5BBE-4C89-8AD1-5CC939A5224E


 
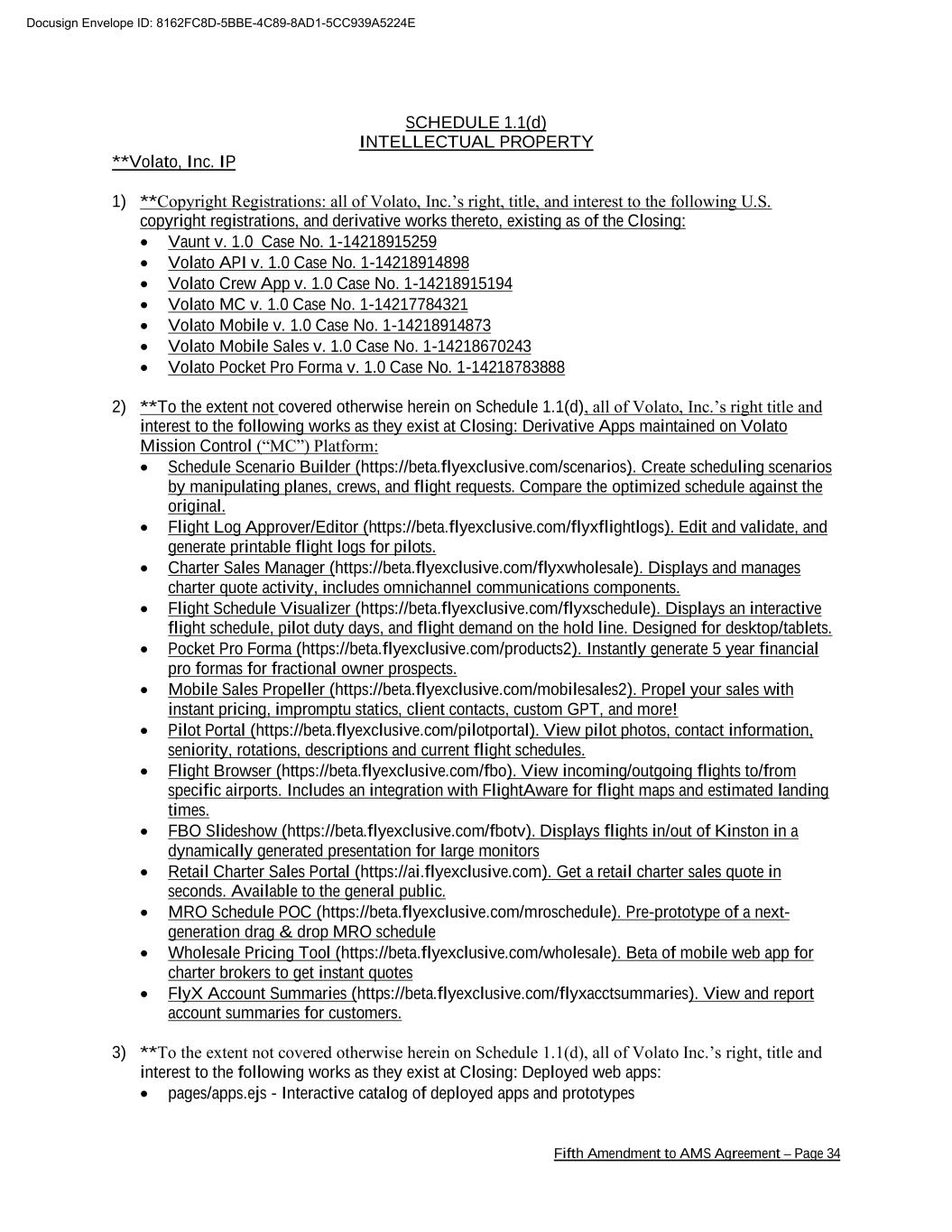
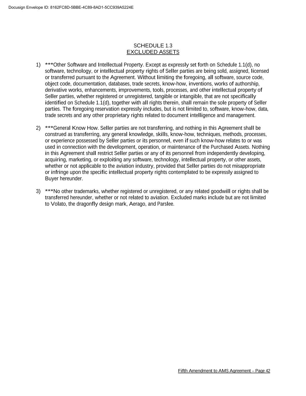
10 [(b) all of Sellers’ rights and obligations relating to Vaunt’s flight subscription obligations as well as all of Sellers’ rights and obligations under the contracts and agreements described on Schedule 1.1(b) attached hereto (collectively, the "Assumed Contracts");] (c) all books, records, files and papers relating to the Purchased Assets, the Seller Business; (d) all Intellectual Property and Intellectual Property Rights related to or associated with the Purchased Assets, (each, as defined below) including but not limited to the Intellectual Property and Intellectual Property Rights set forth on Schedule 1.1(d), including all causes of action, claims and remedies for current, past and future infringement, misappropriation and similar violations with respect thereto; (e) all permits, licenses, and governmental authorizations, variances, consents, registrations, and approvals related to or associated with the Purchased Assets or required to operate the Seller Business, as operated in the ordinary course, consistent with past practices, by Sellers and their Affiliates, and specifically including, without limitation, those items set forth on Schedule 1.1(e) attached hereto; (f) all prepaid expenses, customer deposits (but specifically excluding any payments for revenue not yet recognized), deferred revenue and advance payments of any kind related to the Purchased Assets or the Seller Business, specifically including, without limitation, those items set forth on Schedule 1.1(f) attached hereto; (g) all rights under and pursuant to all warranties, representations, and guaranties made by suppliers of goods or services to Sellers relating to the Purchased Assets; (h) all of the goodwill associated with the Purchased Assets and the Seller Business; and (j) a grant from Sellers to Buyer of the Perpetual Fallback License in a form mutually agreeable to Buyer and Sellers. At the Closing (as hereinafter defined), Sellers shall sell, assign, transfer, convey and deliver to Buyer the Purchased Assets free and clear of any and all pledges, claims, security interests, obligations, liens, leases, contracts to sell, or other encumbrances, charges, claims, or liabilities of any kind or nature whatsoever (“Encumbrances”). 1.2 Assumed and Excluded Liabilities. Except for obligations and liabilities arising from the Assumed Contracts, solely to the extent that such Assumed Contracts have been entered into in the ordinary course of business, and that such liabilities and obligations accrue, arise or occur after the Closing Date and do not relate to any failure to perform, improper performance, or other breach, default or violation by Sellers on or prior to the Closing Date (collectively, the "Assumed Liabilities"), Buyer shall not assume nor be obligated to pay, perform or discharge any liability, obligation, debt, charge or expense of Seller, or any such item imposed on Buyer as successor to Sellers or any of their Affiliates, with respect to any transaction, event, condition, action, suit, proceeding, debt, charge, liability, obligation, expense or claim accruing, arising or occurring prior to, on or after the Closing Date, whether asserted prior to, on or after the Closing Date, whether accrued or contingent, liquidated or unliquidated, asserted or unasserted, known or unknown, or due or not due (collectively, the "Excluded Liabilities"). 1.3 Excluded Assets. For the avoidance of doubt, Purchased Assets shall specifically exclude cash, cash-like items, bank accounts and Stripe reserves, any non-aviation-related software or intellectual property listed on Schedule 1.3, and any equity interest in Fly Vaunt, all of which shall remain the property of the applicable Seller. Docusign Envelope ID: 8162FC8D-5BBE-4C89-8AD1-5CC939A5224E


 
11 ARTICLE II PURCHASE PRICE 2.1 Purchase Price. Subject to the terms and conditions of this Agreement, the total consideration for the Purchased Assets, and the other covenants and obligations under this Agreement, shall be the sum of _____ ($_____)Dollars [$1,333,333 for the Non-Vaunt Assets] [$666,667 for the Vaunt Assets](the "Purchase Price"). 2.2 Payment of Purchase Price. At the Closing, the Purchase Price shall be paid by Buyer to Parent in cash by (a) wire transfer of immediately available funds to an account designated by Parent, (b) in shares of Buyer common stock, or (c) any combination thereof (at Buyer’s sole discretion). Any fraction of a share of Buyer common stock transferred by Buyer to Parent as part of the Purchase Price shall be rounded up to the nearest whole number of shares. For any portion of the Purchase Price paid in shares of common stock of Buyer, the value of one share of Buyer common stock shall be determined as the VWAP of Buyer’s common stock as of the Closing Date. 2.3 Allocation of Purchase Price. The Purchase Price shall be allocated among the Purchased Assets as provided in Schedule 2.3 attached hereto. Sellers and Buyer acknowledge that the allocations of the Purchase Price set forth on Schedule 2.3 attached hereto are based upon the fair value of the Purchased Assets determined by arms-length negotiations, and all Parties shall adhere to such allocation in all tax returns and other documents filed with any governmental authority. ARTICLE III CLOSING 3.1 Closing. The consummation of the transactions contemplated by this Agreement (the "Closing") shall take place remotely via electronic exchange of documents and signatures on the Closing Date. For accounting, tax and finance purposes, the effective time of the Closing shall be deemed to be as of 11:59 p.m. Eastern Time on the Closing Date. 3.2 Buyer’s Deliveries. At the Closing, Buyer, in addition to the other requirements of this Agreement, shall deliver, or cause to be delivered, to Sellers the following: (a) the Purchase Price; (b) the bill of sale, assignment and assumption agreement in a mutually agreeable form (the "Bill of Sale"), duly executed by Buyer; and (c) the intellectual property assignment and assumption agreement in a mutually agreeable form (the “IP Assignment Agreement”), duly executed by Buyer. 3.3 Sellers’ Deliveries. At the Closing, Sellers, in addition to the other requirements of this Agreement, shall deliver, or cause to be delivered, to Buyer the following: (a) resolutions of Sellers approving the execution, delivery and performance of this Agreement and the transactions contemplated hereby; (b) the Bill of Sale, duly executed by Sellers; (c) the IP Assignment Agreement, duly executed by Sellers; Docusign Envelope ID: 8162FC8D-5BBE-4C89-8AD1-5CC939A5224E


 
12 (d) the Perpetual Fallback License; and (e) such other bills of sale, assignments and other instruments of transfer or conveyance, duly executed by Sellers, as may be reasonably requested by Buyer to effect the sale, conveyance and delivery of the Purchased Assets to Buyer. ARTICLE IV REPRESENTATIONS AND WARRANTIES To induce Buyer to enter into this Agreement and to purchase the Purchased Assets, Sellers represent and warrant to Buyer as follows, except (i) as set forth on the disclosure schedules delivered by Sellers to Buyer in connection with this Agreement (the “Disclosure Schedules”) or (ii) as disclosed in Parent’s SEC Documents filed with the SEC prior to the date hereof and publicly available on the SEC’s Electronic Data Gathering Analysis and Retrieval (EDGAR) system (but (A) without giving effect to any amendment thereof filed with, or furnished to the SEC on or after the date hereof and (B) excluding any disclosures contained under the heading “Risk Factors” and any disclosure of risks included in any “forward-looking statements” disclaimer or in any other section to the extent they are forward-looking statements or cautionary, predictive or forward-looking in nature), it being understood that any matter disclosed in Parent’s SEC Documents shall be deemed to be disclosed in a section of the Disclosure Schedules only if it is reasonably apparent from a reading of such Parent’s SEC Documents that it would be applicable to such section or subsection of the Disclosure Schedules. The sections of the Disclosure Schedules are numbered and captioned to correspond to the Sections of this Agreement and each disclosure in the Disclosure Schedules will qualify the representations and warranties in the corresponding Section of this Agreement: 4.1 Organization and Authority. (a) Each Seller is a corporation or limited liability company, as applicable, duly formed, validly existing and in good standing under the laws of the state in which it was formed, with full corporate power, or limited liability company power, as applicable, and authority to own, lease, hold and operate the assets and properties owned, leased, held or operated by it, to carry on its business as it is currently conducted and to enter into and perform its obligations under this Agreement. Each Seller is duly qualified or licensed and in good standing to do business in each jurisdiction in which the property owned, leased, held, or operated by it or the nature of its business makes such qualification or licensing necessary. The execution, delivery and performance of this Agreement and the other documents to be executed by each Seller in connection herewith, the sale to Buyer of the Purchased Assets, and the consummation of the transactions contemplated by this Agreement and such other documents, have been duly authorized by all requisite action on the part of each Seller. This Agreement constitutes, and all bills of sale, assignments, agreements and other instruments and documents to be executed and delivered by each Seller hereunder will constitute (assuming the due authorization, execution and delivery by the other parties hereto and thereto), the legal, valid and binding obligations of each Seller, enforceable against each Seller in accordance with their respective terms. (b) [Reserved]. 4.2 Absence of Conflicts and Consent Requirements. The execution and delivery of this Agreement and the other documents contemplated by this Agreement to which it is party, the consummation of the transactions contemplated by this Agreement, and compliance by each Seller with the provisions of this Agreement and such other documents does not and will not: (a) conflict with or result in a breach of the terms or conditions of the Certificate of Incorporation, bylaws, Articles of Organization, operating agreement or other organizational documents of any Seller; (b) violate, conflict Docusign Envelope ID: 8162FC8D-5BBE-4C89-8AD1-5CC939A5224E


 
13 with, constitute a default under, or give rise to any right to termination, cancellation or acceleration under the terms, conditions or provisions of any mortgage, indenture, agreement, lease, obligation, restriction, arrangement, instrument or other contract to which Sellers or Seller Parent is a party or is bound, or by which Sellers, Seller Parent, the Purchased Assets, or any of Sellers’ or Seller Parent’s other properties or assets may be affected; (c) result in the creation or imposition of any lien, claim, interest, restriction, charge or encumbrance upon any of the Purchased Assets, or any of the assets or properties of Sellers or Seller Parent; (d) violate any judgment, order, decree, law, statute, regulation or other judicial or governmental restriction to which Sellers, Seller Parent or any of the Purchased Assets or any assets or properties of Sellers or Seller Parent is subject; or (e) except as disclosed in Section 4.2 of the Disclosure Schedules, require the consent, approval or waiver of, or any prior filing with or notice to, any governmental authority or other third party. 4.3 [Reserved]. 4.4 Title to Property. Each applicable Seller has good and marketable fee simple title to, or a valid leasehold interest in, the Purchased Assets, free and clear of all Encumbrances. Each applicable Seller has the right to convey or assign the Purchased Assets to Buyer, and at the Closing shall have conveyed to Buyer good and valid title or leasehold interest in or to the Purchased Assets, free and clear of any and all Encumbrances. 4.5 Taxes. Except as set forth in Section 4.5 of the Disclosure Schedules, (a) each Seller has filed all Tax Returns (as defined below) which are required to be filed and has paid all Taxes (as defined below) which have become due pursuant to such Tax Returns or pursuant to any assessment which has become payable; (b) all monies required to be withheld by each Seller (including from employees for income Taxes and social security and other payroll Taxes) have been collected or withheld, and either paid to the respective taxing authorities, set aside in accounts for such purpose, or accrued, reserved against and entered upon the books of each Seller, as applicable; (c) no Seller has been delinquent in the payment of any Taxes; (d) there are neither any present disputes or claims nor any prior disputes or claims ever made with any taxing authority, in any jurisdiction, as to Taxes of any nature payable or determined to be payable by Sellers, and there is no basis for any such dispute or claim; (e) there is no tax sharing agreement, tax allocation agreement, tax indemnity obligation, or similar written or unwritten agreement, arrangement, understanding, or practice with respect to any taxes that shall require any payment by Sellers; and (f) as of the date of Closing, no Seller has any Tax liability for any Taxes due or to be due for all periods prior or ending on the Closing Date. 4.6 Contracts. Buyer has been provided a true and complete copy of (or a true and complete written description of the terms of any of the following that are oral) all contracts, agreements, understandings, and other commitments to which Sellersare, directly or indirectly, a party, and by which the Purchased Assets are bound or otherwise affected, including, without limitation, all of the Assumed Contracts. Except as set forth in Section 4.6(a) of the Disclosure Schedules, the Assumed Contracts are (i) current, represent actual bona fide transactions and were prepared in the ordinary course of Sellers’ operation of their respective businesses, (ii) are valid and binding obligations of the applicable Seller, (iii) in full force and effect, and Sellers have no knowledge that any party to any such contract, agreement, understanding or commitment is in breach or default thereof, and (iv) not subject to any dispute, set-off, or counterclaim, nor are any of the Assumed Contracts the subject of any re-negotiation. Sellers have not received any notice of non- renewal or price increase with respect to any of the Assumed Contracts. The Assumed Contracts will be duly assigned to Buyer at the Closing and upon such assignment, Buyer will acquire all of Sellers’ rights, titles and interests in and to such contracts and will be substituted for the applicable Sellers under the terms thereof. 4.7 Intellectual Property. Docusign Envelope ID: 8162FC8D-5BBE-4C89-8AD1-5CC939A5224E


 
14 (a) Registered IP. Section 4.7(a) of the Disclosure Schedules sets forth all Intellectual Property owned or purported to be owned by Sellers related to or associated with the Purchased Assets or the Seller Business (the “Seller Owned IP”). The Seller Owned IP is valid, subsisting, and enforceable, and there are no oppositions, cancellations, invalidity proceedings, interferences or re-examination proceedings presently pending, threatened in writing or, to Sellers’ knowledge, otherwise threatened with respect to the Registered Intellectual Property included in the Seller Owned IP. All necessary registration, maintenance and renewal fees due with respect to all Registered Intellectual Property included in the Seller Owned IP have been paid and all necessary documents, recordations and certificates in connection with such Registered Intellectual Property have been filed with the relevant governmental authorities for the purposes of prosecuting, establishing ownership by Sellers and maintaining such Registered Intellectual Property. (b) Company Licensed Software and Licensed Databases. Section 4.7(b) of the Disclosure Schedules sets forth, with respect to Sellers, all Licensed Software and Licensed Databases (in each case, other than Off-the-Shelf Software). Except as set forth on Section 4.7(b) of the Disclosure Schedules, such Licensed Software and Licensed Databases are not, and do not include any, Open Source Software that requires as a condition of how Sellers currently uses or has used such Licensed Software and Licensed Databases that any Computer Software or Computer Databases or data incorporated into, derived from or distributed with such Licensed Software and Licensed Databases be (i) disclosed or, in the case of Computer Software, distributed in source code form, (ii) licensed for the purpose of making derivative works, (iii) redistributable at no charge, or (iv) subject to any other material limitation, restriction or condition on the right or ability of Sellers to use or distribute the same. Sellers have at all times in the past three (3) years been in compliance in all material respects with the terms of all contracts, agreements, understandings, and other commitments governing the use or distribution of all Licensed Software and Licensed Databases (including Open Source Software). The Licensed Software and Licensed Databases do not contain any substantial or material programming errors or, to Seller’s knowledge, any Harmful Code. (c) Company Proprietary Software and Proprietary Databases. Section 4.9(c) of the Disclosure Schedules sets forth, with respect to Sellers, a list of all Proprietary Software and Proprietary Databases and the Open Source Software used therein. All source code and other documentation concerning such Proprietary Software are, in all material respects, correct, accurate, complete and sufficiently documented to enable a Computer Software developer of reasonable skill to understand, modify, debug, enhance, compile, support and otherwise utilize all aspects of the Computer Software to which it pertains. No source code for such Proprietary Software has been delivered or licensed to any other Person, or is subject to any source code escrow or assignment obligation. The Open Source Software used in or distributed with such Proprietary Software and Proprietary Databases does not have license or other usage terms that require as a condition of how Sellers currently uses, distributes, or has used or distributed, such Open Source Software, Proprietary Software and Proprietary Databases, that any Computer Software or Computer Databases or data or other Intellectual Property incorporated into, derived from or distributed with such Proprietary Software and Proprietary Databases be (i) disclosed or, in the case of Computer Software, distributed in source code form, (ii) licensed for the purpose of making derivative works, (iii) redistributable at no charge, or (iv) subject to any other material limitation, restriction or condition on the right or ability of Sellers to use or distribute the same. Such Proprietary Software and Proprietary Databases does not contain any substantial or material programming errors or, Sellers’ knowledge, any Harmful Code. (d) Seller Owned Intellectual Property. Except as set forth on Section 4.7(d) of the Disclosure Schedules, Sellers are the exclusive owners of all right, title, and interest in and to each item of Seller Owned IP, free and clear of all Encumbrances. All Seller Licensed IP is licensed to Sellers pursuant to valid, written license agreements. Except as set forth on Section 4.7(d) of the Disclosure Schedules, the Seller Owned IP and Seller Licensed IP, and the Intellectual Property Rights therein, comprise all of the Docusign Envelope ID: 8162FC8D-5BBE-4C89-8AD1-5CC939A5224E


 
15 Intellectual Property and Intellectual Property Rights used in or necessary to conduct the Seller Business, as conducted immediately prior to the Closing, and such rights will be exercisable after the Closing by Buyer in the same manner as conducted by Sellers immediately prior to the Closing, and Sellers’ rights therein and thereto will not be altered or impaired by the consummation of the transactions contemplated by this Agreement. (e) Seller Non-Infringement. Sellers, the operation of Seller Business as currently conducted, and the use by Sellers of the (i) Intellectual Property and Intellectual Property Rights used by it in operation of its business as currently conducted (including all Seller Owned IP and Seller Licensed IP) (the “Seller Business IP”), and (ii) Sellers’ IT Assets, in connection therewith do not infringe, misappropriate or otherwise violate the Intellectual Property or Intellectual Property Rights of any third party, and have not done so in the last six (6) years. Sellers have not received any written notice or claim from any Person alleging that Sellers violate, infringe or misappropriate any Intellectual Property or Intellectual Property Rights of such party, or challenging the right of Sellers to own, use, or enforce any of the Seller Business IP. There are no current, and in the past three (3) years there have been no, legal proceedings, written threats of legal proceedings, or to Sellers’ knowledge, non-written threats of legal proceedings, in each case, in which Sellers have alleged the violation, misappropriation or infringement of any Seller Business IP by any Person, and there has been no violation, infringement or misappropriation by any Person of the Seller Owned IP. (f) Third Party Use. Except as set forth in Section 4.7(f) of the Disclosure Schedules, or with respect to non-exclusive licenses granted by Sellers in the ordinary course of business to customers in connection with the provision of services to those customers, Sellers has not granted any other Person a license or other right to use any Seller Business IP. (g) Buyer-created derivative works. Notwithstanding anything to the contrary in this Agreement or in any certificate, schedule or document delivered pursuant hereto, Sellers make no representation or warranty, and shall have no liability or indemnification obligation, with respect to any derivative works of Seller Intellectual Property that were created, authored, developed, or modified by Buyer or its Affiliates under any license granted by Sellers prior to the Closing, including any claims or Losses arising from or related to the authorship, validity, originality, enforceability, or alleged infringement, misappropriation, or violation of Intellectual Property rights by such derivative works. 4.8 [Reserved]. 4.9 Condition and Sufficiency of the Purchased Assets. The Purchased Assets are in good operating condition, normal wear and tear excepted, and there is no deferred maintenance with respect to any of the property transferred. The Purchased Assets are fit for Buyer's intended uses and functions, have been maintained in accordance with reasonable business practices, and conform in all material respects to all applicable laws. The Purchased Assets are all of the assets necessary for the operation of the Seller Business in substantially the same manner as currently operated by Sellers. 4.10 Litigation. Except as set forth in Section 4.10 of the Disclosure Schedules, there is no suit, claim, action or proceeding, at law or in equity, now pending or, to Sellers’ knowledge, threatened against or affecting Sellers, the Seller Business, or the Purchased Assets before any court, administrative or regulatory body, or any governmental agency, nor, to Sellers’ knowledge, are there any grounds therefor. 4.11 No Broker. No Seller, nor any person acting on either such party’s behalf, has paid or become obligated to pay any fee or commission to any broker, finder or intermediary for or on account of the transactions contemplated by this Agreement. Docusign Envelope ID: 8162FC8D-5BBE-4C89-8AD1-5CC939A5224E


 
16 4.12 Compliance with Law. Except as set forth in Section 4.12 of the Disclosure Schedules, (a) no Seller is in material violation of, or delinquent in respect to, any decree, order, or arbitration award or law, statute, rule, ordinance, or regulation of or agreement with or from any federal, state, or local governmental authority (or to which its properties, assets, personnel, or business activities are subject); and (b) the ownership and operation of the Purchased Assets by Sellers, and the conduct of the Seller Business are in material compliance with all applicable federal, state, and local laws, ordinances, regulations, and orders, and no event has occurred or circumstances exist that (with or without notice or lapse of time or both) (i) may constitute or result in a violation by Sellers of, or a failure on the part of Sellers to comply with, any decree, order, or arbitration award or law, statute, rule, ordinance, or regulation of or agreement with or from any federal, state, or local governmental authority, or (ii) would give rise to any obligation on the part of Sellers to undertake, or to bear all or any portion of the cost of, any remedial action of any nature. ARTICLE V REPRESENTATIONS AND WARRANTIES OF BUYER To induce Sellers to enter into this Agreement and to sell the Purchased Assets, Buyer represents and warrants to Sellers as follows: 5.1 Organization and Authority of Buyer. Buyer is a corporation duly incorporated, validly existing and in good standing under the laws of the State of Delaware, with full corporate power and authority to own, lease, hold and operate the assets and properties owned, leased, held or operated by it, to carry on its business as it is currently conducted and to perform its obligations under this Agreement. The execution, delivery and performance of this Agreement and the other documents to be executed by Buyer in connection herewith, the purchase from Sellers of the Purchased Assets, and the consummation of the transactions contemplated by this Agreement and such other documents, have been duly authorized by all requisite action on the part of Buyer. This Agreement constitutes, and all bills of sale, assignments, agreements and other instruments and documents to be executed and delivered by Buyer hereunder will constitute (assuming the due authorization, execution and delivery by the other parties hereto and thereto), the legal, valid and binding obligations of Buyer, enforceable against Buyer in accordance with their respective terms. 5.2 Absence of Conflicts and Consent Requirements. Buyer’s execution and delivery of this Agreement and the other documents contemplated by this Agreement to which it is a party, the consummation of the transactions contemplated by this Agreement, and compliance by Buyer with the provisions of this Agreement and such other documents, does not and will not: (a) conflict with or result in a breach of the terms or conditions of the Certificate of Incorporation, bylaws, Articles of Organization, operating agreement or other organizational documents of Buyer; (b) violate, conflict with, constitute a default under, or give rise to any right to termination, cancellation or acceleration under the terms, conditions or provisions of any mortgage, indenture, agreement, lease, obligation, restriction, arrangement, instrument or other contract to which Buyer is a party or is bound; (c) violate any judgment, order, decree, law, statute, regulation or other judicial or governmental restriction to which Buyer is subject; or (d) require the consent, approval or waiver of, or any prior filing with or notice to, any governmental authority or other third party. 5.3 No Broker. Neither Buyer nor any person acting on Buyer’s behalf has paid or become obligated to pay any fee or commission to any broker, finder or intermediary for or on account of the transactions contemplated by this Agreement. ARTICLE VI CERTAIN COVENANTS AND AGREEMENTS Docusign Envelope ID: 8162FC8D-5BBE-4C89-8AD1-5CC939A5224E


 
17 6.1 Press Releases and Announcements. Buyer and Sellers will cooperate in the preparation and dissemination of any announcements and other disclosures to others relating to the Closing, and each Party shall provide the other with the reasonable opportunity to review any such announcements or other disclosures prior to dissemination. 6.2 Further Assurances; Notices and Consents. Sellers and Buyer agree to cooperate fully with each other and to execute such further instruments, documents and agreements and to give such further written assurances, as may be reasonably requested by a Party, to better evidence and consummate the transactions described herein and contemplated hereby, and to carry into effect the intent and purpose of this Agreement. Each of Buyer and Sellers will give any notices to, make any filings with, and use commercially reasonable efforts to obtain any authorizations, consents and approvals of, any governmental authority or third party that are necessary in connection with the transactions contemplated by this Agreement. If any third party fails to provide any such necessary authorization, consent or approval, Sellers shall cooperate with Buyer in any commercially reasonable arrangement designated by Buyer and designed to provide Buyer the benefits of having obtained such authorization, consent or approval, including enforcement of any related contractual or other rights of Sellers at the cost of and for the account of Buyer. In addition, subject to the limitations herein, Sellers shall cooperate with Buyer and provide such further instruments, documents and agreements that may be desirable or necessary or required for Buyer to receive the full economic and legal benefits of the [Vaunt Assets] [Non-Vaunt Assets] to the extent that such benefits are not available to Buyer prior to exercise of the full Company Option. 6.3 Fees and Expenses. Except as otherwise provided herein, Sellers and Buyer shall each bear their own costs and expenses in connection with the negotiation and preparation of this Agreement and the consummation of the transactions contemplated hereby, including, without limitation, the fees and expenses of their respective counsel, accountants and consultants. 6.4 Transition Services. Sellers covenants and agrees to, on a reasonable basis, (a) cooperate with Buyer in the transfer of information technology used by or in connection with the Seller Businesses to Buyer, including, without limitation, websites, domain names, and registrations, as soon after the Closing as is commercially practicable, (b) cooperate with Buyer in its efforts to continue and maintain for the benefit of Buyer those business relationships of Sellers existing through and including the Closing Date and relating to the Seller Businesses, including, without limitation, any distributors, vendors, suppliers and customers, for a period of ninety (90) days after the Closing Date, and (c) provide advice to Buyer, as requested by Buyer from time-to-time, in order to transition and to retain customers of the Businesses for the benefit of Buyer, and to maintain, develop, and improve customer relationships with Buyer for a period of ninety (90) days after the Closing Date. 6.5 Corporate Existence. Parent shall remain a corporation in good standing under the laws of the State of Delaware for a minimum of twenty-four (24) months following the Closing Date. 6.6 Tax Matters. (a) Sellers shall duly and timely file with the appropriate taxing authority all Tax Returns required under applicable laws to be filed by Sellers for any period ending on or prior to the Closing Date that cover any Tax obligations of Sellers, the Seller Business or the Purchased Assets. (b) The Parties anticipate that the transactions contemplated hereby shall be exempt from any sales, purchase, transfer, stamp, documentary stamp, registration, use or similar Taxes ("Transfer Taxes") under exemptions afforded by applicable law. The Parties agree to reasonably cooperate in securing the benefits of such exemptions, including by executing, delivering and filing any certificates or other Docusign Envelope ID: 8162FC8D-5BBE-4C89-8AD1-5CC939A5224E


 
18 documents necessary to establish the applicability thereof. If, notwithstanding the Parties’ intent and expectations, it is determined that the sale of any of the Purchased Assets is subject to Transfer Taxes, Buyer shall be solely responsible for such Transfer Taxes, and shall report and remit such Transfer Taxes to the applicable taxing authority. (c) The Parties shall cooperate fully, as and to the extent reasonably requested by another Party, in connection with the filing of Tax Returns and any proceedings with respect to Taxes relating to the Purchased Assets. Such cooperation shall include the retention and (upon another Party’s request) the provision of records and information that are relevant to any such Tax Return or proceeding. The Parties each agree to retain all books and records with respect to Tax matters pertinent to the Purchased Assets relating to any taxable period beginning on or before the Closing Date until the expiration of the statute of limitations of the respective taxable periods. ARTICLE VII SURVIVAL; INDEMNIFICATION 7.1 Survival. All representations, warranties, covenants and agreements made by a Party, whether made in this Agreement or any exhibit, schedule, agreement, certificate, instrument or other document delivered pursuant to this Agreement, shall be made at and as of the Closing Date and shall survive Closing and for the twelve (12) month period thereafter, unless the specific time for performance in such agreement sets forth a longer period of time in which case the terms of such agreement shall govern. Notwithstanding the foregoing, the Fundamental Representations and any claims relating to, arising out of or otherwise attributable to intentional fraud or intentional misrepresentation shall survive the Closing and shall continue indefinitely. 7.2. Indemnification. (a) By Parent. Parent shall defend, indemnify, reimburse and hold Buyer, and its members, managers, employees, agents, representatives, successors and assigns (each, a "Buyer Indemnitee"), harmless from, against and in respect of, any Losses incurred or suffered by any Buyer Indemnitee with respect to: (i) any breach or inaccuracy of any representation or warranty made by Sellers in Article IV above, or in any agreement, document or instrument executed by Sellers pursuant to this Agreement; (ii) any breach of or default in connection with any of the covenants, agreements or obligations made by Sellers in this Agreement or in any agreement, document or instrument executed pursuant to this Agreement; (iii) any Excluded Liabilities; (iv) any Tax liability of Sellers, and any Tax liability of Fly Vaunt with respect to any Tax attributable to any pre-Closing period; and/or (v) any failure of Sellers to provide the indemnification required herein. (b) By Buyer. Buyer agrees to defend, indemnify and hold Sellers, and its shareholders, managers, employees, agents, representatives, successors and assigns (each a “Seller Indemnitee”) harmless from, against and in respect of any Losses incurred or suffered by any Seller Indemnitee with respect to: (i) any breach or inaccuracy of any representation or warranty made by Buyer in Article V above, or in any agreement, document or instrument executed by Buyer pursuant to this Agreement; (ii) any breach of or default in connection with any of the covenants, agreements or obligations made by Buyer in this Agreement or in any agreement, document or instrument executed pursuant to this Agreement; and/or (iii) any failure of Buyer to provide the indemnification required herein. (c) Claims by Party. All claims for indemnification under this Agreement shall be resolved in accordance with the following procedures: Docusign Envelope ID: 8162FC8D-5BBE-4C89-8AD1-5CC939A5224E


 
19 (i) Promptly (but in no event more than thirty (30) days) after receipt by a Seller Indemnitee or a Buyer Indemnitee, as applicable (either, an “Indemnified Party”) of written notice of any third-party claim asserted against it, such Indemnified Party shall, if a claim for indemnification is to be made against a party under this Section 7.2 (such party, the “Indemnifying Party”), give notice to the Indemnifying Party of such third-party claim, but the failure to notify the Indemnifying Party within such thirty (30)-day period shall not relieve the Indemnifying Party of any liability that it may have to any Indemnified Party, except to the extent that the Indemnifying Party demonstrates that the Indemnifying Party is actually and materially prejudiced by the Indemnified Party’s failure to give such notice. Each notice of a third-party claim shall describe the third-party claim in reasonable detail and shall indicate the amount (estimated, if necessary and to the extent possible) of the Loss that has been or may be suffered by the Indemnified Party and a reference to the provisions of this Agreement in respect of which such Losses shall have occurred. (ii) If any such third-party claim is brought against an Indemnified Party and such Indemnified Party gives notice thereof to the Indemnifying Party, the Indemnifying Party shall be entitled to participate in such third-party claim (at its sole cost and expense) or, by giving written notice to the Indemnified Party, to assume the defense of such third-party claim (at its sole cost and expense) with counsel reasonably satisfactory to the Indemnified Party. Notwithstanding the foregoing, an Indemnifying Party may not assume the defense of a third-party claim (and shall not be entitled to continue to control the defense of any third-party claim) if (A) the Indemnified Party determines in good faith that such Indemnifying Party does not have the financial resources to defend against the such third-party claim and to fulfill its indemnification obligations hereunder, (B) the Indemnified Party has been advised by counsel that an actual or potential conflict exists between the Indemnified Party and the Indemnifying Party in connection with such third-party claim, (C) such third-party claim relates to or otherwise arises in connection with any criminal or regulatory enforcement action or proceeding or is brought by a governmental authority, (D) where it is reasonably likely for such third-party claim, or the Indemnifying Party’s conduct of the defense of such third-party claim, to be adverse to the Indemnified Party’s reputation or continuing business interests, (E) such third-party claim seeks an injunction, equitable relief, or other non-monetary damages against the applicable Indemnified Party or any other relief other than monetary damages, (F) such Indemnifying Party shall fail to respond and/or assume the defense of such third party claim within ten (10) days after receipt of notice from the Indemnified Party, (G) such Indemnifying Party shall fail to accept and acknowledge in writing that such Indemnified Party is entitled to indemnification with respect to such third- party claim pursuant to this Article VII, or (H) the Indemnifying Party fails defend such third-party claim in good faith. (iii) If the Indemnifying Party assumes the defense of a third-party claim that the Indemnifying Party is permitted to assume, then the Indemnified Party shall reasonably cooperate in the defense or prosecution thereof at the Indemnifying Party’s expense. No Indemnifying Party shall settle, compromise, or consent to the entry of a judgment of a third-party claim subject to this Section 7.2 without the prior written consent of the Indemnified Party (which consent shall not be unreasonably withheld, conditioned, or delayed), unless (A) the settlement includes an unconditional release of the Indemnified Party from all Losses with respect to such third-party claim and (B) the settlement does not include (I) any non-monetary commitment by the Indemnified Party or (II) any monetary commitment by the Indemnified Party with respect to which the Indemnifying Party is not required to provide full indemnification hereunder. (iv) If the Indemnifying Party does not assume, or is not entitled to continue control of, the defense of a third-party claim, then the Indemnified Party shall have the right to assume control of the defense of such third-party claim through counsel of its choice, the cost of which shall be at such Indemnifying Party’s expense to the extent that the Indemnified Party’s right of indemnification is established hereunder. If the Indemnified Party elects to assume the defense of a third-party claim Docusign Envelope ID: 8162FC8D-5BBE-4C89-8AD1-5CC939A5224E


 
20 hereunder, then the Indemnified Party shall not settle, compromise, or consent to the entry of a judgment of a third-party claim subject to this Section 7.2 without the prior written consent of the Indemnifying Party (which consent shall not be unreasonably withheld, conditioned, or delayed) to the extent that any obligations or liabilities would be imposed on the Indemnifying Party as a result of such settlement, compromise or judgment. (v) If the Indemnifying Party shall fail to respond, within ten (10) days after receipt of notice from the Indemnified Party, then the Indemnifying Party shall be deemed to have accepted such third-party claim and acknowledged that the Indemnified Party is entitled to indemnification with respect to such third-party claim pursuant to this Article VII. If the Indemnifying Party shall timely respond within such ten (10)-day period and disputes such third-party claim and the Indemnified Party’s right to indemnification hereunder, then the Indemnified Party shall be free to seek enforcement of its rights to indemnification under this Article VII. (vi) Any direct claim for indemnification under this Article VII (not involving a third-party claim) shall be asserted by giving the Indemnifying Party written notice within a reasonable period (but in no event more than thirty (30) days) after an Indemnified Party determines the existence of the claim, stating the nature of such claim in reasonable detail and indicating the estimated amount of Losses, if practicable, and a reference to the provisions of this Agreement in respect of which such Losses shall have occurred; provided, however, that the failure to give notice to the Indemnifying Party shall not relieve the Indemnifying Party of its obligations hereunder except to the extent such failure shall have actually and materially prejudiced the Indemnifying Party. The Indemnifying Party shall have a period of ten (10) days within which to respond to such direct claim. The Indemnified Party shall make available to the Indemnifying Party all records and other materials reasonably requested by the Indemnifying Party for use in contesting any direct claim. If the Indemnifying Party shall fail to respond within such ten (10)-day period, then the Indemnifying Party shall be deemed to have accepted that such Indemnified Party is entitled to indemnification with respect to such direct claim pursuant to this Article VII. If the Indemnifying Party shall timely respond within such ten (10)-day period and disputes such direct claim and the Indemnified Party's right to indemnification hereunder, then the Indemnified Party shall be free to seek enforcement of its rights to indemnification under this Article VII. (d) Miscellaneous Indemnification Terms. (i) The indemnification obligations under this Article VII shall be the sole and exclusive remedy available to any Indemnified Party with respect to any monetary Losses arising out of this Agreement. Notwithstanding the foregoing, nothing contained herein shall be deemed a waiver by a Party of any right to specific performance or injunctive relief or any right or remedy with respect to fraud, intentional misrepresentation, willful misconduct or willful breaches. (ii) For purposes of determining whether a breach has occurred, and the amount of any Losses that is the subject matter of a claim for indemnification under this Article VII based on a breach or inaccuracy of any representation or warranty contained in this Agreement, each such representation and warranty shall be read without regard and without giving effect to any “materiality,” “in all material respects,” “knowledge” or any similar standard or qualification contained in such representation or warranty (as if such standard or qualification were deleted therefrom). (iii) The indemnities set forth in this Article VII are intended to be enforceable against the Parties in accordance with the express terms and scope thereof notwithstanding any laws that would prohibit or otherwise limit indemnities because of the negligence (whether sole, concurrent, active or passive) or other fault or strict liability of Sellers or the applicable Buyer Indemnitee, as applicable. Docusign Envelope ID: 8162FC8D-5BBE-4C89-8AD1-5CC939A5224E


 
21 (iv) The Parties shall, to the extent permitted by applicable laws, treat any payments made pursuant to this Article VII as adjustments to the Purchase Price for Tax purposes. (v) Parent’s indemnification obligations for any breach or inaccuracy of any representation or warranty made by Sellers in Article IV above (other than for fraud) shall be capped at (i) Two Million Dollars ($2,000,000) for any such breach or inaccuracy of representations and warranties made by Sellers in Sections 4.1, 4.2, 4.4, and 4.7, and (ii) Two Hundred Thousand Dollars ($200,000.00) for the remaining sections of Article IV. The referenced caps shall be the aggregate amounts subject to indemnification under the Vaunt Assets and Non-Vaunt Assets Options. ARTICLE VIII MISCELLANEOUS 8.1 Merger Clause. This Agreement (and the agreements to be delivered pursuant hereto), including the schedules and exhibit attached hereto, contains the final, complete and exclusive statement of the agreement between the Parties with respect to the transactions contemplated herein and all prior or contemporaneous written or oral agreements with respect to the subject matter hereof are merged into this Agreement. 8.2 Amendments; Waiver. No change, amendment, qualification or cancellation hereof shall be effective unless in writing and executed by the Parties hereto. No action taken pursuant to this Agreement or any other agreement executed pursuant hereto, including any investigation by or on behalf of either Party, shall be deemed to constitute a waiver by the Party taking such action of compliance with any representation, warranty, covenant or agreement contained herein. The waiver by any Party of a breach of any provision of this Agreement shall not operate or be construed as a further or continuing waiver of such breach or as a waiver of any other or subsequent breach. No failure on the part of any Party to exercise, and no delay in exercising, any right, power or remedy hereunder shall operate as a waiver thereof, nor shall any single or partial exercise of such right, power or remedy by such Party preclude any other or further exercise thereof or the exercise of any other right, power or remedy. 8.3 Benefits and Binding Effect. This Agreement shall be binding upon and inure to the benefit of any and all successors, assigns, or other successors in interest of Buyer and Sellers. Except for assignment by Buyer in whole or in part to one or more Affiliates (each of which shall not require consent), neither Party hereto may assign this Agreement nor any of their respective rights, interests or obligations hereunder, in whole or in part, by operation of law or otherwise, without the prior written consent of the other Party. Any purported assignment not permitted under this Section 8.3 shall be null and void. 8.4 Notices. All notices, consents, waivers, requests, demands and other communications hereunder shall be in writing and shall be deemed to have been duly given (a) if mailed by certified registered mail, with return receipt requested, when received, (b) if sent by overnight delivery service or other courier, when delivered, (c) if sent by electronic mail, when sent (provided, that no “bounce-back”, system error message or other notification of non-delivery is received by the sender), or (d) if delivered by hand, when delivered. All notices to a Party shall be sent to the addresses set forth below or to such other address or Person as such Party may designate by notice to each other Party under this Section 8.4: Sellers: Volato Group, Inc. Attn: Mark Heinen 1954 Airport Road, Suite 124 Docusign Envelope ID: 8162FC8D-5BBE-4C89-8AD1-5CC939A5224E


 
22 Chamblee, GA 30341 Email: mark.heinen@flyvolato.com Volato, Inc. Attn: Mark Heinen 1954 Airport Road, Suite 124 Chamblee, GA 30341 Email: mark.heinen@flyvolato.com Fly Vaunt, LLC Attn: Mark Heinen 1954 Airport Road, Suite 124 Chamblee, GA 30341 Email: mark.heinen@flyvolato.com With a copy to: Dykema Gossett PLLC Attn: Andrew T. Frost 111 E. Kilbourn Ave., Suite 1050 Milwaukee, WI 53202 Email: Afrost@dykema.com Buyer: flyExclusive, Inc. Attn: Thomas J. Segrave, Jr. 2860 Jetport Rd. Kinston, NC 28504 Email: jsegrave@flyexclusive.com With a copy to: Wyrick Robbins Yates & Ponton LLP Attn: Larry E. Robbins 4101 Lake Boone Trail, Suite 300 Raleigh, NC 27607 Email: lrobbins@wyrick.com 8.5 Captions. The Article and Section headings in this Agreement are for convenience of reference only and shall not be deemed to alter or affect the meaning or interpretation of any provision hereof. 8.6 Governing Law; Venue. This Agreement and all claims and causes of action that may be based upon, arise out of, or relate to this Agreement or the negotiation, execution or performance of this Agreement shall be governed by the laws of the State of Delaware, without regard to the conflicts of law principles of such state that may result in the application of the substantive laws of another state. Further, the Parties agree to the sole and exclusive jurisdiction of any state or federal court sitting within Raleigh, North Carolina with respect to any action arising under or relating to this Agreement, and the Parties each consent to the jurisdiction of said courts and waive any right or defense relating to such jurisdiction or venue. 8.7 Schedules. All of the Schedules hereto referred to in this Agreement are hereby incorporated herein by reference and shall be deemed and construed to be a part of this Agreement for all purposes. Docusign Envelope ID: 8162FC8D-5BBE-4C89-8AD1-5CC939A5224E


 
23 8.8 Severability. The invalidity or unenforceability of any one or more phrases, sentences, clauses or provisions of this Agreement shall not affect the validity or enforceability of the remaining portions of this Agreement or any part thereof. 8.9 Counterparts. This Agreement may be executed in any number of counterparts, all of which shall constitute one and the same instrument. 8.10 Attorney Fees. In the event an arbitration, suit or action is brought by any Party under this Agreement to enforce any of its terms, or in any appeal therefrom, it is agreed that the prevailing Party shall be entitled to reasonable attorneys’ fees to be fixed by the arbitrator, trail court, and/or appellate court. 8.11 Specific Performance; Remedies. The Parties acknowledges and agrees that Buyer would be damaged irreparably if any provision of this Agreement is not performed in accordance with its specific terms or is otherwise breached. Accordingly, the Parties agree that Buyer shall be entitled to an injunction or injunctions to prevent breach of the provisions of this Agreement and to enforce specifically this Agreement and its terms and provisions, without the necessity of proving the inadequacy of money damages as a remedy, in addition to any other remedy to which they may be entitled, at law or in equity. Except as otherwise provided herein, all rights, powers, and remedies provided under this Agreement or otherwise available in respect hereof at law or in equity shall be cumulative and not alternative, and the exercise or beginning of the exercise of any interest by any party shall not preclude the simultaneous or later exercise of any other such right, power or remedy by such party. 8.12 No Third-Party Beneficiaries. This Agreement and the other agreements to be delivered pursuant hereto (including the schedules and exhibits hereto and thereto) are not intended to, and shall not, confer upon any other Person any rights or remedies hereunder, except for Article VII, which is for the benefit of the Indemnified Parties covered thereby. 8.13 Waiver of Jury Trial; Attorneys’ Fees. TO THE EXTENT PERMITTED BY APPLICABLE LAWS, THE PARTIES HEREBY KNOWINGLY, VOLUNTARILY AND INTENTIONALLY WAIVE ANY RIGHTS THEY MAY HAVE TO A TRIAL BY JURY IN RESPECT OF ANY LITIGATION, CLAIM OR PROCEEDING (WHETHER A CLAIM, COUNTERCLAIM, AFFIRMATIVE DEFENSE OR OTHERWISE) IN CONNECTION WITH OR IN ANY WAY RELATED TO THIS AGREEMENT OR ANY COURSE OF CONDUCT, COURSE OF DEALING, STATEMENTS (WHETHER VERBAL OR WRITTEN), ACTIONS OR INACTIONS BY OR AMONG THE PARTIES. In the event of a dispute arising out of or relating to this Agreement or the transactions contemplated hereby, the prevailing party (as determined by a final judgment or order issued by a court of competent jurisdiction) shall be entitled to recover from the non-prevailing party, in addition to all other damages to which it may be entitled, its reasonable attorneys’ fees, expenses and costs. [Signature Page Follows] Docusign Envelope ID: 8162FC8D-5BBE-4C89-8AD1-5CC939A5224E


 
[Signature Page to Asset Purchase Agreement] IN WITNESS WHEREOF, the Parties have executed this Agreement or caused this Agreement to be executed by its duly authorized representative in such form as to binding, all as of the date first above written. SELLERS: Volato Group, Inc., a Delaware corporation By: _______________________________________ Name: Mark Heinen Title: Chief Financial Officer Volato, Inc., a Georgia corporation By: _______________________________________ Name: Mark Heinen Title: Chief Financial Officer Fly Vaunt, LLC, a Georgia limited liability company By: _______________________________________ Name: Mark Heinen Title: Chief Financial Officer BUYER: flyExclusive, Inc., a Delaware corporation By: _______________________________________ Name: Thomas J. Segrave, Jr. Title: Chief Executive Officer Docusign Envelope ID: 8162FC8D-5BBE-4C89-8AD1-5CC939A5224E


 
Fifth Amendment to AMS Agreement – Page 25 ANNEXES AND SCHEDULES Annexes: Annex A Defined Terms Schedules: Schedule 1.1(a) Tangible Personal Property Schedule 1.1(b) Assumed Contracts Schedule 1.1(d) Intellectual Property Schedule 1.1(e) Permits, Licenses and Authorizations Schedule 1.1(f) Prepaid Expenses, Deposits, Etc. Schedule 1.3 Excluded Assets Schedule 2.3 Allocation of Purchase Price Docusign Envelope ID: 8162FC8D-5BBE-4C89-8AD1-5CC939A5224E


 
Fifth Amendment to AMS Agreement – Page 26 ANNEX A DEFINED TERMS "Affiliate" means, with respect to any Person, a Person that directly, or indirectly through one or more intermediaries, controls, or is controlled by, or is under common control with, the Person specified. “Agreement” has the meaning set forth in the Preamble. “AMS Agreement” has the meaning set forth in the Recitals. “Assumed Contracts” has the meaning set forth in Section 1.1(b). “Assumed Liabilities” has the meaning set forth in Section 1.2. “Bill of Sale” has the meaning set forth in Section 3.2(b). “Buyer” has the meaning set forth in the Preamble. “Buyer Indemnitee” has the meaning set forth in Section 7.2. “Closing” has the meaning set forth in Section 3.1. “Closing Date” has the meaning set forth in the Preamble. “Computer Database” means all types of collections of electronic records and data that can be accessed by a computer. “Computer Software” means all types of computer software programs including operating systems, application programs, software tools, firmware and software embedded in equipment, including object code, executable code, source code versions thereof, firmware, platform and application software, library functions, compilers, models and all written or electronic materials that explain the structure or use of software or that were used in the development of software, including logic diagrams, flow charts, algorithms, methodologies and implementation thereof, data, metadata, databases, compilation of data, whether machine readable or otherwise, documentation, and any other work or products used to design, plan, organize, maintain, support or develop any of the Purchased Assets, whether in source or object code format and all related documentation, code notes, procedural diagrams, development tools, error reports, manuals and training materials. “Copyright” means all works of authorship, regardless of the medium of fixation or means of expression, and all associated registrations and applications for registration, under the copyright laws of the United States or any other foreign country, for the full term and all renewals, extensions and restorations thereof. “Disclosure Schedules” has the meaning set forth in Article IV. “Encumbrances” has the meaning set forth in Section 1.1. “Excluded Assets” has the meaning set forth in Section 1.3. Docusign Envelope ID: 8162FC8D-5BBE-4C89-8AD1-5CC939A5224E


 
Fifth Amendment to AMS Agreement – Page 27 “Excluded Liabilities” has the meaning set forth in Section 1.2. “Fly Vaunt” has the meaning set forth in the Preamble. “Fundamental Representations” means Sections 4.1 (Organization and Authority), 4.2 (Absence of Conflicts and Consent Requirements), 4.3 (Capitalization), 4.4 (Title to Property), 4.5 (Taxes), and 4.13 (No Broker). “Harmful Code” means (a) any virus, malware, trackware, ransomware, Trojan horse, worm, back door, time bomb, drop dead device, spyware or adware, and (b) any similar program, routine, instruction, mechanism, device, computer code, contaminant, logic or effect designed or intended to have, or intended to be capable of performing, any of the following functions: (i) disrupting, disabling, harming or otherwise impeding in any manner the operation of, or providing unauthorized access to, a computer system or network or other device on which such mechanism, device or computer code is stored or installed, or otherwise materially and adversely affect the functionality of, any IT Asset (or portion thereof); or (ii) collecting, erasing, damaging or destroying any information, data or file, in each case, without the user’s consent. “IP Assignment Agreement” has the meaning set forth in Section 3.1(c). “IT Assets” means all Computer Software, Computer Databases, systems, servers, websites, computers, hardware, firmware, middleware, networks, data communications lines, routers, hubs, switches and all other information technology equipment, and all associated documentation. “Indemnified Party” has the meaning set forth in Section 7.2(c)(i). “Indemnifying Party” has the meaning set forth in Section 7.2(c)(i). “Intellectual Property” means, collectively, any and all of the following existing in any jurisdiction throughout the world on the date hereof: (a) Patents, (b) Copyrights, (c) Trade Secrets, data and legal rights therein and other confidential information and know-how, (d) Marks and all good will associated therewith, and (e) Computer Software. “Intellectual Property Rights” means all worldwide proprietary rights, moral rights, and other rights in Intellectual Property, including, all rights of integrity and attribution, remedies against infringement or misappropriation thereof, and all rights to the protection of any interests therein under any applicable law. “Licensed Software” means any Computer Software owned by a third party and licensed to or otherwise used by Sellers in connection with the Purchased Assets, as applicable, but specifically excluding software and applications available for use by any Person without charge via the internet (e.g., Wikipedia, Facebook, LinkedIn, etc.). “Licensed Database” means any Computer Database owned by a third party and licensed to or otherwise used by Sellers in connection with the Purchased Assets, as applicable, but specifically excluding databases and related applications available for use by any Person without charge via the internet (e.g., Wikipedia, Facebook, LinkedIn, etc.). "Losses" means all damages, awards, losses, demands, claims, proceedings, liabilities, judgments, obligations, Taxes, assessments, fines, sanctions, penalties, charges, costs, expenses, payments, all interest Docusign Envelope ID: 8162FC8D-5BBE-4C89-8AD1-5CC939A5224E


 
Fifth Amendment to AMS Agreement – Page 28 thereon (including court costs, costs of defense, and reasonable fees and expenses of attorneys, accountants and other professional advisors), including, but not limited to, and only to the extent awarded and paid to a third party, consequential damages, lost profits, diminution of value, valuation metrics and other multiple- based damage, and exemplary or punitive damages. “Marks” means statutory and common law trademarks, trade dress, service marks, logos, trade names, business names, and other words, names, designs or symbols used to identify a business or source of goods or services, and the goodwill associated therewith, now existing or hereafter adopted or acquired, and all registrations and applications to register the same, under the laws of the United States or any other foreign country, for the full term and all renewals thereof. “Non-Vaunt Assets” means the assets designated as “Non-Vaunt Assets” listed on the Schedules to this Agreement. “Off-the-Shelf Software” means commercially available off-the-shelf Computer Software that (A) is not material to Seller Business, (B) has not been modified or customized for Sellers, as applicable, and (C) is licensed to any Seller for a one-time or annual fee of $5,000 or less. “Open Source Software” means Computer Software that is subject to or licensed, provided or distributed under any open source license (including any copyleft license), including any license that satisfies the definition of free software by the Free Software Foundation, satisfies the definition of open source software by the Open Source Initiative, or that is offered under similar types of Computer Software licenses. “Option” has the meaning set forth in the Recitals. “Party” or “Parties” has the meaning set forth in the Preamble. “Patent” means any issued U.S. and foreign patents and pending patent applications (and all patents that issue therefrom), patent disclosures, and any and all divisions, continuations, continuations-in-part, continuing prosecution applications, reissues and reexaminations thereof, for the full term thereof, as well as all inventions disclosed in any of the foregoing. “Perpetual Fallback License” means an exclusive, perpetual, royalty-free, irrevocable, freely transferable and freely sublicensable license to use the Intellectual Property and Intellectual Property Rights related to the Purchased Assets. "Person" means any natural person, firm, partnership, limited liability company, association, corporation, joint venture, unincorporated organization, joint stock company, trust, business trust, governmental authority or other entity. “Proprietary Database” means any Computer Database owned, or purported to be owned, by Sellers used in connection with the Purchased Assets. “Proprietary Software” means any Computer Software owned, or purported to be owned, by Sellers used in connection with the Purchased Assets. “Purchased Assets” has the meaning set forth in Section 1.1. “Purchase Price” has the meaning set forth in Section 2.1. Docusign Envelope ID: 8162FC8D-5BBE-4C89-8AD1-5CC939A5224E


 
Fifth Amendment to AMS Agreement – Page 29 “Registered Intellectual Property” means all United States and foreign (a) Patents, (b) registered Marks, applications to register Marks (excluding “dead” applications that have been abandoned), intent to use applications or other registrations or applications related to Marks, (c) registered Copyrights and applications for Copyright registration, and (d) domain names and URLs. “Seller” and “Sellers” has the meaning set forth in the Preamble. “Seller Business” means the business currently conducted by [Volato for the Non-Vaunt Assets], [Fly Vaunt for the Vaunt Assets] and the aviation-related private equity fund business of Parent. “Seller Business IP” has the meaning set forth in Section 4.7(e). “Seller Indemnitee” has the meaning set forth in Section 7.2. “Seller Licensed IP” means all Intellectual Property and Intellectual Property Rights (excluding any Seller Owned IP) used, held for use or practiced by Seller. “Seller Owned IP” has the meaning set forth in Section 4.7(a). “Seller Parent” has the meaning set forth in the Recitals. "Tax Return" means any return, report or similar statement required to be filed with respect to any Taxes, including, without limitation, any information return, claim for refund, amended return and declaration of estimated Tax. "Taxes" means any federal, state or local income, alternative, value-added, gross income, gross receipts, property, profit, production, ad valorem, sales, use, transfer, gains, license, excise, employment, withholding or minimum tax, stamp or environmental tax or any other tax, custom, duty, governmental fee or other like assessment or charge, together with any interest or penalty, addition to tax or additional amount imposed by any governmental body. “Trade Secrets” means any data or information of Sellers that is not commonly known by or available to the public and that (a) derives economic value, actual or potential, from not being generally known to and not being readily ascertainable by proper means by other Persons who can obtain economic value from its disclosure or use and (b) is the subject of efforts that are reasonable under the circumstances to maintain its secrecy. “Transfer Taxes” has the meaning set forth in Section 6.6(b). “Vaunt Assets” means the assets designated as “Vaunt Assets” listed on the Schedules to this Agreement. “VWAP” means, for any date of determination, the volume-weighted average price per share of FLYX common stock on the NYSE American LLC (or any successor exchange) as reported by Bloomberg L.P. under the function “VWAP” for the security designated as “FLYX <Equity> VWAP” (or, if Bloomberg ceases to publish VWAP, another reputable financial data source selected in good faith by the parties), calculated for the thirty (30) consecutive trading days ending on and including the fifth (5th) trading day prior to the applicable determination date. For the avoidance of doubt, “VWAP” shall be determined without regard to after-hours trading or any other trading outside of regular trading hours (9:30 a.m. to 4:00 p.m. New York City time) and shall exclude any block trades not reported contemporaneously with public trading data. Docusign Envelope ID: 8162FC8D-5BBE-4C89-8AD1-5CC939A5224E


 
Fifth Amendment to AMS Agreement – Page 30 1. Vaunt Assets are designated and identified by “*” and such assets are to be included, and sold, transferred and conveyed to Buyer, in the Vaunt Assets version of the Purchase Agreement. 2. Non-Vaunt Assets are designated and identified by “**” and such assets are to be included, and sold, transferred and conveyed to Buyer, in the Non-Vaunt version of the Purchase Agreement. 3. Other Assets listed below and identified by “***” and such assets are to be included, and sold, transferred and conveyed to Buyer, in both of the Vaunt Assets and Non-Vaunt Assets versions of the Purchase Agreement. SCHEDULE 1.1(a) Included Company Aviation Assets as of the Effective Date of the Fifth Amendment to the AMS Agreement **Tangible assets of Volato, Inc.: None *Tangible assets of Fly Vaunt, LLC: None. **Intangible Assets of Volato, Inc. 1) **All written work product drafts of legal documents and written business analysis documentation prepared on behalf of Volato, Inc. in connection with a proposed aviation-related private equity fund structure. *Intangible Assets of Fly Vaunt, LLC 1) *Subject to Fly Vaunt, LLC's privacy policy and applicable law, all customer data held by Fly Vaunt, LLC in the Vaunt data platform repository as it exists on the transfer date. For the avoidance of doubt, this excludes any customer data repositories that contain information relating to non-Vaunt services or customers. Seller parties shall not be obligated to search for or deliver any customer data not stored in the foregoing designated repository. Any transfer of personal data or customer/lead information occurs only as permitted by applicable law, privacy notices, and contracts. No transfer is effected by implication. 2) *Subject to Fly Vaunt, LLC's privacy policy and applicable law, all individual consumer consents to be contacted for marketing and/or informational purposes to individually designated phone numbers to the extent that such individual consents are then-current at the time of transfer. Upon Buyer’s written request, Fly Vaunt, LLC will send out an informational message to the applicable consumers informing them that the Vaunt service is being transferred to Buyer prior to the transfer. Such message shall be subject to the prior approval of both Buyer and Fly Vaunt, LLC. Docusign Envelope ID: 8162FC8D-5BBE-4C89-8AD1-5CC939A5224E


 
Fifth Amendment to AMS Agreement – Page 31 3) *The internet domain name www.flyvaunt.com, together with all rights, goodwill, and benefits associated therewith, including the right to transfer, register, and renew the domain name with the applicable registrar, and all assignable rights against third parties arising from past, present, or future infringement, dilution, or other impairment of the domain name. 4) *Vaunt Social Media Accounts. All social media accounts (including usernames, handles, and associated goodwill) that are branded solely with the “Vaunt” name and used primarily to market the Vaunt service (the “Transferred Social Media Accounts”). Transferred Social Media Accounts exclude (i) any accounts branded under “Volato,” “Fly Vaunt, LLC,” or any other Volato Group identifier; (ii) any content or postings relating to Volato or Fly Vaunt corporate performance, investor relations, strategy, or personnel; (iii) any attorney-client privileged, confidential, or HR-related communications; (iv) any historic direct messages, inbox content, or correspondence, except for Vaunt customer service inquiries as mutually agreed; and (v) any historical analytics tied to Volato or Fly Vaunt accounts. Prior to Closing, Seller will use commercially reasonable efforts to remove or archive Excluded Content from the Transferred Social Media Accounts. Buyer shall have no rights in Excluded Content, and any such materials inadvertently transferred shall be promptly removed upon request. At Buyer’s option, in lieu of receiving a particular social media account, Buyer may direct Seller parties to permanently delete such account at or after Closing. 5) *Vaunt Business Records. a) *Subject to all exclusions herein and applicable law, copies of Fly Vaunt, LLC books, records, files, data, and other documentation that (i) relate solely to the Vaunt line of business as conducted immediately prior to Closing, (ii) are used primarily in the operation of the Vaunt service, and (iii) are reasonably necessary to permit Buyer to continue such operation after Closing (collectively, the “Transferred Records”). Transferred Records include, in each case to the extent Vaunt-specific: customer and lead lists collected through Vaunt channels, supplier and vendor contact lists for assigned contracts, Vaunt marketing collateral, product specifications and technical documentation for the Vaunt service, help/FAQ articles, and Vaunt-specific standard form customer order forms and terms (but not Seller parties’ enterprise-wide form agreements). b) ***Except as expressly set forth in this Schedule, no business records of Seller parties are being sold, assigned, or transferred pursuant to the Agreement. Without limiting the foregoing, the following are excluded and shall not transfer (the “Excluded Records”): (a) organizational documents, minute books, stock records, board/committee materials, and compliance policies of Volato Group, Inc. and any of its affiliates or subsidiaries; (b) tax returns/workpapers, or investor-relations materials; (c) HR and payroll records; (d) attorney-client privileged materials and attorney work product; (e) records that cannot be transferred without third-party consent or that are subject to confidentiality or data-processing restrictions (unless and until such consent is obtained); (f) records that relate to any specifically-excluded assets stated herein; (g) enterprise- wide templates, policies, SOPs, and forms used generally across Volato, Inc. or any of its affiliates (other than Vaunt-specific versions expressly included above); and (h) email archives and collaboration content. c) ***Delivery; Retention; Redaction. Transferred Records will be delivered in existing electronic formats where available; Seller parties is not obligated to create new records. Seller parties may retain copies of Transferred Records for legal, tax, compliance, and archival purposes, subject to confidentiality. Seller parties may reasonably redact Excluded Records and privileged or third- party confidential information. Docusign Envelope ID: 8162FC8D-5BBE-4C89-8AD1-5CC939A5224E


 
Fifth Amendment to AMS Agreement – Page 32 6) ***Privilege Preservation; Inadvertent Delivery. No privilege shall be waived by any contemplated assignment described herein. If any Excluded Records are inadvertently delivered, Buyer acquires no rights therein and shall promptly delete or return them upon notice (and certify deletion upon request). 7) ***General Business Accounts and Subscriptions. Notwithstanding any other provision herein, no general business accounts, subscriptions, licenses, or services of Seller parties are transferred unless specifically enumerated in this Schedule or other Schedule to this Agreement. Without limiting the foregoing, excluded items include but are not limited to: (a) general software-as-a-service subscriptions (including but not limited to productivity tools, AI services, analytics platforms, and communication tools), (b) utility accounts, (c) insurance policies, (d) enterprise-wide licenses or subscriptions that serve multiple business functions, (e) accounting, legal, or professional services relationships, (f) general office or administrative service contracts, and (g) any other accounts, subscriptions, or service relationships that are not directly and necessarily related to the specific operation of the Vaunt platform. Only those vendor contracts and service relationships specifically identified in Schedule 1.1(b) as relating to the Vaunt service are included in the transfer. Docusign Envelope ID: 8162FC8D-5BBE-4C89-8AD1-5CC939A5224E


 
Fifth Amendment to AMS Agreement – Page 33 SCHEDULE 1.1(b) ASSUMED CONTRACTS **Volato, Inc. None *Fly Vaunt, LLC 1) *All then-current customer contracts for the Vaunt service held by Fly Vaunt, LLC at the time of Closing. 2) *All executed, non-terminated Vaunt Operator Addendums existing at the time of Closing. 3) *Any other then-current executed agreements with any Operator related to the Vaunt platform. 4) *Any other vendor, service provider, or supplier contracts relating to the Vaunt service and in place at the time of Closing, but not including any general business accounts excluded in Schedule 1.1(a). Docusign Envelope ID: 8162FC8D-5BBE-4C89-8AD1-5CC939A5224E


 
Fifth Amendment to AMS Agreement – Page 34 SCHEDULE 1.1(d) INTELLECTUAL PROPERTY **Volato, Inc. IP 1) **Copyright Registrations: all of Volato, Inc.’s right, title, and interest to the following U.S. copyright registrations, and derivative works thereto, existing as of the Closing: • Vaunt v. 1.0 Case No. 1-14218915259 • Volato API v. 1.0 Case No. 1-14218914898 • Volato Crew App v. 1.0 Case No. 1-14218915194 • Volato MC v. 1.0 Case No. 1-14217784321 • Volato Mobile v. 1.0 Case No. 1-14218914873 • Volato Mobile Sales v. 1.0 Case No. 1-14218670243 • Volato Pocket Pro Forma v. 1.0 Case No. 1-14218783888 2) **To the extent not covered otherwise herein on Schedule 1.1(d), all of Volato, Inc.’s right title and interest to the following works as they exist at Closing: Derivative Apps maintained on Volato Mission Control (“MC”) Platform: • Schedule Scenario Builder (https://beta.flyexclusive.com/scenarios). Create scheduling scenarios by manipulating planes, crews, and flight requests. Compare the optimized schedule against the original. • Flight Log Approver/Editor (https://beta.flyexclusive.com/flyxflightlogs). Edit and validate, and generate printable flight logs for pilots. • Charter Sales Manager (https://beta.flyexclusive.com/flyxwholesale). Displays and manages charter quote activity, includes omnichannel communications components. • Flight Schedule Visualizer (https://beta.flyexclusive.com/flyxschedule). Displays an interactive flight schedule, pilot duty days, and flight demand on the hold line. Designed for desktop/tablets. • Pocket Pro Forma (https://beta.flyexclusive.com/products2). Instantly generate 5 year financial pro formas for fractional owner prospects. • Mobile Sales Propeller (https://beta.flyexclusive.com/mobilesales2). Propel your sales with instant pricing, impromptu statics, client contacts, custom GPT, and more! • Pilot Portal (https://beta.flyexclusive.com/pilotportal). View pilot photos, contact information, seniority, rotations, descriptions and current flight schedules. • Flight Browser (https://beta.flyexclusive.com/fbo). View incoming/outgoing flights to/from specific airports. Includes an integration with FlightAware for flight maps and estimated landing times. • FBO Slideshow (https://beta.flyexclusive.com/fbotv). Displays flights in/out of Kinston in a dynamically generated presentation for large monitors • Retail Charter Sales Portal (https://ai.flyexclusive.com). Get a retail charter sales quote in seconds. Available to the general public. • MRO Schedule POC (https://beta.flyexclusive.com/mroschedule). Pre-prototype of a next- generation drag & drop MRO schedule • Wholesale Pricing Tool (https://beta.flyexclusive.com/wholesale). Beta of mobile web app for charter brokers to get instant quotes • FlyX Account Summaries (https://beta.flyexclusive.com/flyxacctsummaries). View and report account summaries for customers. 3) **To the extent not covered otherwise herein on Schedule 1.1(d), all of Volato Inc.’s right, title and interest to the following works as they exist at Closing: Deployed web apps: • pages/apps.ejs - Interactive catalog of deployed apps and prototypes Docusign Envelope ID: 8162FC8D-5BBE-4C89-8AD1-5CC939A5224E


 
Fifth Amendment to AMS Agreement – Page 35 • pages/boldiq.ejs - UI for BoldIQ fleet optimizer • pages/brag.ejs - Mobile web app for fractional owners to view photos and current location of their aircraft • pages/broker-rewards-commissions.ejs - Volato broker rewards commissions report • pages/chartercontract_flyexclusive.ejs - Contracts digital signature system for flyX • pages/chartercontract.ejs - Contracts digital signature system for MC • pages/charterquote.ejs - public flight quoting system for MC • pages/charterquoteflyx.ejs - public flight quoting system, customized for flyExclusive • pages/chat-gpt.ejs - volato MC chatgpt wrapper • pages/contractviewer - volato MC charter flight contract signature system • pages/fbo - utility for the fbo operators to view inbound/outbound flights • pages/fbotv - slideshow app for visualizing inbound/outbound flights, weather, fuel prices • pages/flightconfirmation.ejs - MC flight confirmation sent to pax • pages/flighttimes.ejs - compares estimated flight times across different algorithms including boldiq, airtable, and foreflight dispatch • pages/flyxacctsummaries.ejs - displays account activities (flights, other) • pages/flyxcontracts.ejs - digital signatures for contracts • pages/flyxflightlogs.ejs - pilot flight log and duty day display/validation • pages/flyxquotes.ejs - display quotes by salesperson • pages/flyxschedule.ejs - display flyx flight schedule using Bryntum Scheduler • pages/flyxwholesale.ejs - sales management portal for wholesale charter • pages/homepage.ejs - default page for app server • pages/hondajet.ejs - displays estimated flight times for hondajets using Foreflight dispatch • pages/mobilesales-wholesale.ejs - mobile app for wholesale brokers to get pricing and book flights • pages/mobilesales1 - mobile web app for internal salespeople using MC • pages/mobilesales2 - mobile web app for internal salespeople at flyX using Airtable • pages/opt-in.ejs - flyExclusive SMS Opt-In/Out • pages/pilotportal.ejs - flyExclusive pilot portal displaying contacts, seniority, and flight schedule, filtered by aircraft type. • pages/privacy_policy.ejs • pages/products.ejs - Volato pocket pro-forma • pages/products2.ejs - FlyX pocket pro-forma • pages/proforma.ejs - Generates pro-forma output as email or web page • pages/proformacomparison.ejs - Generates side-by-side comparison pro-forma output as email or web page • pages/proforainsiderprogram.ejs - outputs pro forma for Volato Insider program • pages/reservation-request-form - Volato daily deals reservation requests • pages/review-form - Volato NPS survey form • pages/scenarios - BoldIQ scenario builder • pages/subscribe - Email newsletter subscription • pages/tailassignment.ejs - Customer tail assignment notification page • pages/unsubscribe-flight-reviews.ejs - unsubscribe from flight review notifications • pages/unsubscribe-owner-email.ejs - unsubscribe from owner emails • pages/wholesaleadmin - web app for managing which brokers can access the flyExclusive wholesale mobile web app for brokers Docusign Envelope ID: 8162FC8D-5BBE-4C89-8AD1-5CC939A5224E


 
Fifth Amendment to AMS Agreement – Page 36 4) **To the extent not covered otherwise herein on Schedule 1.1(d), all of Volato Inc.’s right, title and interest to the following works as they exist at Closing: web app prototypes: • pages/airportviewer.ejs - CRUD for airport information • pages/apidashboard.ejs - API dashboard displaying customer access trends • pages/chartergoals.ejs - Volato MC charter goals visualization • pages/charterperformance.ejs - Volato MC charter financial performance visualization • pages/charterrequests.ejs - visualization of daily charter pricing quote requests coming from the MC public quoting system • pages/cityphotos.ejs - a tool to manage a photo library of cities • pages/crewplanes - prototype for managing the assignment of crews to planes • pages/crewscheduling - prototype for visualing crew<>plane scheduling • pages/customers.ejs - prototype for customer/contacts CRUD editor/viewer • pages/dailycharterhours.ejs - prototype for visualizing daily charter flight qty • pages/depositprograminfo.ejs - prototype for dashboard showing deposit program and salesperson activity • pages/dutydays.ejs - MC crew duty days prototype • pages/dutydayvalidation.ejs - MC crew duty day validation • pages/emailconfirmconsent.ejs - MC email newsletter subscription consent • pages/fleetusage.ejs - prototype for displaying monthly flight hours per tail • pages/flightlegs.ejs - prototype of tabular display of flights and flight logs • pages/flightstats.ejs - prototype of data visualization for flight times of different programs (charter, owner, jetclub) • pages/formtest.ejs - prototype of dynamic forms engine • pages/maintenance.ejs - prototype of mx CRUD/data viz for MC • pages/missioncategoryeditor.ejs - prototype of CRUD for editing mission categories in MC • pages/mobile.ejs - prototype of passenger-facing mobile app • pages/monthlyrepopercentagechart.ejs - prototype of data visualization for repositioning flights. • pages/mroschedule.ejs - a proof of concept for creating an interactive schedule in the flyexclusive MRO with conflict resolution. • pages/mx.ejs - prototype of data visualization tools for mx in MC • pages/omnichannel.ejs - prototype of omnichannel customer support system in MC • pages/partnereditor.ejs - prototype of partner editor for MC • pages/pilotdateconfig.ejs - prototype of important pilot dates visualization/crud • pages/piloteditor.ejs - prototype of pilot editor for MC • pages/prototypetemplate.ejs - a template to be used in the construction of new prototypes • pages/rangemap.ejs - a graphical representation of flight ranges for the HondaJet without refueling • pages/releasedvauntflights.ejs - prototype of display of "won" vaunt flights • pages/scheduler.ejs - prototype of gantt-style flight scheduler for MC, including boldiq integration • pages/schedulevalidation.ejs - prototype schedule validator for MC • pages/servicemap.ejs - prototype of service area map for HondaJet • pages/tripeditor.ejs - prototype of MC trip Creator / editor • pages/trips.ejs - prototype of MC trips CRUD subsystem • pages/vaunt1.ejs - prototype of app to release MC flights to vaunt • pages/vauntinfo.ejs - prototype of dashboard showing vaunt subscriptions • pages/vauntwaitlists.ejs - prototype of vaunt waitlist manager Docusign Envelope ID: 8162FC8D-5BBE-4C89-8AD1-5CC939A5224E


 
Fifth Amendment to AMS Agreement – Page 37 5) *The “VAUNT” trademarks, including: a) the standard character word mark “VAUNT,” U.S. Reg. No. 97,423741, together with all common law rights, applications, renewals, extensions, and registrations thereof, whether pending or issued, in the United States and throughout the world; b) any stylized, logo, or design versions of the “VAUNT” mark; c) any United States or foreign trademark registrations and pending applications for “VAUNT” (together with all renewals, extensions, and continuations thereof); d) all common law rights and unregistered rights in the “VAUNT” mark arising from its use in commerce; and e) the goodwill of the business symbolized by and associated with the “VAUNT” mark and the Vaunt service. f) For clarity, no rights in or to the names “VOLATO,” “Fly Vaunt, LLC,” or any other marks or trade names of Volato, Inc. or Fly Vaunt, LLC are included. 6) *The “V” design mark trademark, including a) the common law rights in the United States and throughout the world; b) any stylized, logo, or design versions of the “V” design mark; c) any United States or foreign trademark registrations and pending applications for the “V” design mark (together with all renewals, extensions, and continuations thereof); d) all common law rights and unregistered rights in the “V” design mark arising from its use in commerce; and e) the goodwill of the business symbolized by and associated with the “V” design mark and the Vaunt service. For clarity, no rights in or to the names “VOLATO,” “Fly Vaunt, LLC,” or any other marks or trade names of Volato, Inc. or Fly Vaunt, LLC are included. 7) *All goodwill of the business symbolized by and associated with the “VAUNT” word mark the “V” design mark, including without limitation: a) the reputation, customer recognition, and brand value associated with the Trademark; b) all rights to use the Trademark in connection with the goods and services for which it has been used; c) all rights to sue for and recover damages or obtain other relief for past, present, and future infringement, dilution, misappropriation, or other violation of the Trademark; and d) all other intangible rights and interests necessary to ensure that the Buyer receives the full benefit of the goodwill and business connected with the Trademark. 8) ***Any Apple App or Google App that utilize any of the source code or derivate works thereof covered by the copyright registrations listed in this Schedule 1.1(d), but not Apple App Store Connect or Apple Developer accounts, or any other accounts which by their terms cannot be transferred to a third party. 9) **The patent application identified as U.S. Patent Application No. 18/982,210, titled “Systems and Methods for Performing Airborne Crypto Mining”, filed Dec 16, 2024, together with (i) any patents issuing therefrom, (ii) all continuations, continuations-in-part, divisionals, extensions, substitutions, reissues, reexaminations, and renewals thereof, (iii) all foreign counterparts and priority rights associated therewith under the Paris Convention or other applicable treaties, and (iv) all rights to claim priority to any of the foregoing. For clarity, this Schedule includes all inventions and discoveries disclosed in such application to the extent owned by Seller parties, along with the goodwill of the business connected with and symbolized by the use of such inventions. 10) **The provisional patent application identified as U.S. Patent Application No. 63/611,133, titled “Systems and Methods for Performing Airborne Crypto Mining”, together with (i) any patents issuing Docusign Envelope ID: 8162FC8D-5BBE-4C89-8AD1-5CC939A5224E


 
Fifth Amendment to AMS Agreement – Page 38 therefrom, (ii) all continuations, continuations-in-part, divisionals, extensions, substitutions, reissues, reexaminations, and renewals thereof, (iii) all foreign counterparts and priority rights associated therewith under the Paris Convention or other applicable treaties, and (iv) all rights to claim priority to any of the foregoing. For clarity, this Schedule includes all inventions and discoveries disclosed in such application to the extent owned by Seller parties, along with the goodwill of the business connected with and symbolized by the use of such inventions. 11) **All right, title, and interest in and to that certain draft U.S. utility patent application relating to Aircraft Schedule Optimization (the “Draft Application”), including without limitation: (a) the text, claims, drawings, and any other written or electronic materials prepared for inclusion in the Draft Application; (b) all inventions, discoveries, improvements, designs, methods, processes, and works of authorship disclosed therein, whether or not patentable; (c) all rights to file, prosecute, and maintain patent applications in any jurisdiction based on or claiming priority to the Draft Application; (d) all rights to claim priority from any earlier-filed application(s) to the extent applicable; (e) all rights to any patents that may issue from the Draft Application or any continuation, continuation-in-part, divisional, reexamination, reissue, renewal, or extension thereof; and (f) all causes of action, choses in action, and rights to sue for past, present, or future infringement, misappropriation, or violation relating to the foregoing. 12) **To the extent not otherwise covered herein, all right, title, and interest of Volato, Inc. in and to those certain works of authorship that relate solely to aircraft schedule optimization as they exist on the Closing date, including source code, software documentation, and other technical documents. *Fly Vaunt, LLC IP 1) *Any Fly Vaunt, LLC rights to any derivative works of any Volato, Inc. works listed in this Schedule 1.1(d). 2) *Vaunt apps. Apple App and Google App for the Vaunt service, but not Apple App Store Connect or Apple Developer accounts, or any other accounts which by their terms cannot be transferred to a third party. 3) *Vaunt hosted website assets. a) Subject to the exclusions below, all of Seller parties’ right, title and interest in and to the publicly accessible Vaunt website (the “Hosted Site”) accessible at Closing at www.flyvaunt.com and all publicly facing pages and content thereon that promote the Vaunt service, including: (a) page templates, style sheets, HTML/CSS/JavaScript and site architecture developed by or for Seller and used to render the Hosted Site, (b) CMS configuration, page hierarchies, menus, navigation, and SEO metadata, (c) marketing copy, product descriptions, feature pages, FAQs, help articles, blog posts and other Service Marketing Content solely to the extent such content describes the Vaunt service and is intended for prospective or current users, (d) images, videos, graphics, icons, and downloadable collateral used on the Hosted Site that relate to the Vaunt service (collectively, “Website Materials”), and (e) all copyrights in the Website Materials to the extent owned by Seller and assignable. For clarity, this transfer does not include any domain name registrations (which are addressed separately), back-office systems, or non-public repositories. b) Notwithstanding anything to the contrary, the following are expressly excluded from the assignment and will not transfer (collectively, “Excluded Website Content”): (i) any press releases, investor relations materials, or other communications authored by or on behalf of Seller parties concerning corporate performance, financial results, fundraising, forecasts, corporate governance, strategy, or personnel; (ii) any business records or corporate documents of Seller Docusign Envelope ID: 8162FC8D-5BBE-4C89-8AD1-5CC939A5224E


 
Fifth Amendment to AMS Agreement – Page 39 parties (e.g., HR materials or internal metrics, whether or not such items were uploaded or linked on the Hosted Site); (iii) any content that displays or incorporates the trademarks, trade names, or logos of Volato Group, Inc, Volato, Inc. or Fly Vaunt, LLC other than the “VAUNT” marks solely as set forth herein; (iv) historical website analytics data prior to Closing, email archives, and CMS back-end comments or drafts; and (v) any third-party materials that are not assignable under applicable license terms. Seller parties retains all right, title and interest in and to the Excluded Website Content. c) Prior to Closing, Seller parties will use commercially reasonable efforts to remove or replace Excluded Website Content from the Hosted Site (including, without limitation, press releases and investor-oriented pages) such that, as of Closing, only Website Materials transfer. If any Excluded Website Content is inadvertently present on the Hosted Site at or after Closing, Buyer (A) will have no right, license, or authorization to use, publish, distribute, or rely upon such content, (B) will promptly remove it upon written notice from Seller parties (or upon Buyer’s discovery), and (C) will treat it as Seller parties’ Confidential Information. d) Transfer of Website Materials that include third-party stock media, fonts, plug-ins, or open- source components is limited to the extent such items are freely transferable under their applicable licenses. Items not transferable are excluded; Seller parties will identify any such items in a reasonable pre-Closing disclosure or remove such materials prior to Closing. 4) *Any Fly Vaunt, LLC rights to any works listed in Schedule 1.1(a) as transferred to Buyer (e.g., Vaunt marketing collateral) to the extent not covered in this Schedule 1.1(d). Docusign Envelope ID: 8162FC8D-5BBE-4C89-8AD1-5CC939A5224E


 
Fifth Amendment to AMS Agreement – Page 40 SCHEDULE 1.1(e) PERMITS, LICENSES AND AUTHORIZATIONS **Volato, Inc.: None *Fly Vaunt, LLC: None Docusign Envelope ID: 8162FC8D-5BBE-4C89-8AD1-5CC939A5224E


 
Fifth Amendment to AMS Agreement – Page 41 SCHEDULE 1.1(f) PREPAID EXPENSES, CUSTOMER DEPOSITS, DEFERRED REVENUE AND ADVANCE PAYMENTS **Volato, Inc.: None *Fly Vaunt, LLC: 1) All deferred revenue in connection with Fly Vaunt, LLC customer contracts assigned pursuant to Schedule 1.1(b). Docusign Envelope ID: 8162FC8D-5BBE-4C89-8AD1-5CC939A5224E


 
Fifth Amendment to AMS Agreement – Page 42 SCHEDULE 1.3 EXCLUDED ASSETS 1) ***Other Software and Intellectual Property. Except as expressly set forth on Schedule 1.1(d), no software, technology, or intellectual property rights of Seller parties are being sold, assigned, licensed or transferred pursuant to the Agreement. Without limiting the foregoing, all software, source code, object code, documentation, databases, trade secrets, know-how, inventions, works of authorship, derivative works, enhancements, improvements, tools, processes, and other intellectual property of Seller parties, whether registered or unregistered, tangible or intangible, that are not specifically identified on Schedule 1.1(d), together with all rights therein, shall remain the sole property of Seller parties. The foregoing reservation expressly includes, but is not limited to, software, know-how, data, trade secrets and any other proprietary rights related to document intelligence and management. 2) ***General Know How. Seller parties are not transferring, and nothing in this Agreement shall be construed as transferring, any general knowledge, skills, know-how, techniques, methods, processes, or experience possessed by Seller parties or its personnel, even if such know-how relates to or was used in connection with the development, operation, or maintenance of the Purchased Assets. Nothing in this Agreement shall restrict Seller parties or any of its personnel from independently developing, acquiring, marketing, or exploiting any software, technology, intellectual property, or other assets, whether or not applicable to the aviation industry, provided that Seller parties do not misappropriate or infringe upon the specific intellectual property rights contemplated to be expressly assigned to Buyer hereunder. 3) ***No other trademarks, whether registered or unregistered, or any related goodwill or rights shall be transferred hereunder, whether or not related to aviation. Excluded marks include but are not limited to Volato, the dragonfly design mark, Aerago, and Parslee. Docusign Envelope ID: 8162FC8D-5BBE-4C89-8AD1-5CC939A5224E


 
Fifth Amendment to AMS Agreement – Page 43 SCHEDULE 2.3 PURCHASE PRICE ALLOCATION An amount equal to the fair market value of the Purchased Assets will be allocated to each of the Purchased Assets up to the Purchase Price. Docusign Envelope ID: 8162FC8D-5BBE-4C89-8AD1-5CC939A5224E